Вернуться к содержанию учебника
№5.290 учебника 2023-2024 (стр. 50):
№5.290 учебника 2021-2022 (стр. 50):
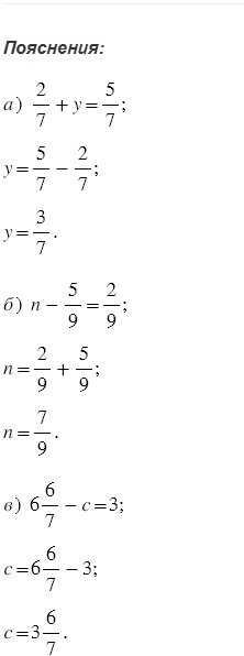
Составьте условие задачи по уравнению:

№5.290 учебника 2023-2024 (стр. 50):
№5.290 учебника 2021-2022 (стр. 50):
Вспомните:
Вернуться к содержанию учебника