Вернуться к содержанию учебника
Выберите год учебника
Стр. 8 учебника 2023-2026:
1. Сколько палочек на каждом рисунке?
Сколько это десятков и единиц?

Стр. 8 учебника 2011-2022:

1. Как изменится запись чисел, если добавить 1 десяток палочек?
Стр. 8 учебника 2023-2026:
В нашем справочнике повтори счёт десятками.
Стр. 8 учебника 2011-2022:
Повтори тему про счет от 1 до 100.
Выберите год учебника
Стр. 8 учебника 2023-2026:
2. Назови число, в котором:

Стр. 8 учебника 2011-2022:
2. Запиши число, в котором 2 дес. и 7 ед.; в котором 7 дес. и 2 ед.
Сколько всего единиц в каждом из этих чисел?
Стр. 8 учебника 2023-2026:
Вспомни, как записать число при помощи десятков и единиц.
Стр. 8 учебника 2011-2022:
При выполнении задания вспомни счёт от 1 до 100.
Стр. 8 учебника 2023-2026:
1 дес. 8 ед. - это 18
9 дес. 9 ед. - это 99
10 дес. - это 100
Стр. 8 учебника 2011-2022:
Решение
2 дес. и 7 ед. = 27 - в числе 27 единиц
7 дес. и 2 ед. = 72 - в числе 72 единицы
Пояснение
2 дес. и 7 ед.
2 дес. = 20
20 + 7 = 27
2 дес. и 7 ед. = 27 - в числе 27 единиц
7 дес. и 2 ед.
7 дес. = 70
70 + 2 = 72
7 дес. и 2 ед = 72 - в числе 72 единицы
Выберите год учебника
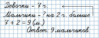
Стр. 8 учебника 2023-2026:
3. На прогулку вышли 7 девочек, а мальчиков — на 2 больше. Сколько мальчиков вышло на прогулку?
Стр. 8 учебника 2011-2022:
3. 1) Спиши числа и объясни, что обозначает каждая цифра в их записи:
11, 14, 40, 44, 29, 90, 99.
2) Под каждым числом запиши следующее за ним при счёте.
Стр. 8 учебника 2023-2026:
Повтори состав числа 9, вспомни, что такое больше-меньше.
Стр. 8 учебника 2011-2022:
При выполнении задания вспомни счёт от 1 до 100.
Стр. 8 учебника 2023-2026:
Решение
7 + 2 = 9 (м.)
Ответ: 9 мальчиков.
Пояснение

На 2 больше. Сложение. Знак плюс.
В краткой записи ч. - человек.
Стр. 8 учебника 2011-2022:
Задание 1
11 - 1 дес. 1 ед.
14 - 1 дес. 4 ед.
40 - 4 дес.
44 - 4 дес. 4 ед.
29 - 2 дес. 9 ед.
90 - 9 дес.
99 - 9 дес. 9 ед.
Задание 2
| 11 | 14 | 40 | 44 | 29 | 90 | 99 |
| 12 | 15 | 41 | 45 | 30 | 91 | 100 |
Выберите год учебника
Стр. 8 учебника 2023-2026:
4. На карусели катались 7 мальчиков, а девочек было на 2 меньше. Сколько девочек ...?
Стр. 8 учебника 2011-2022:
4. 
19 см
2 дм
40 см
4 дм
1 дм 3 см
30 см
1 дм 5 см
50 см
Стр. 8 учебника 2023-2026:
Повтори состав числа 7, вспомни, что такое больше-меньше.
Стр. 8 учебника 2011-2022:
Повтори, чем отличается сантиметр от дециметра.
Вспомни, что такое больше-меньше, не забудь про знаки.
Стр. 8 учебника 2023-2026:
Решение
Сколько девочек катались на карусели?
7 - 2 = 5 (д.)
Ответ: 5 девочек.
Пояснение

На 2 меньше. Вычитание. Знак минус.
В краткой записи ч. - человек.
Стр. 8 учебника 2011-2022:
Решение
19 см < 2 дм
40 см = 4 дм
1 дм 3 см < 30 см
1 дм 5 см < 50 см
Пояснение
Вспоминаю, что 1 дм = 10 см и решаю
|
19 см < 2 дм 19 см < 20 см |
|
40 см = 4 дм 40 см = 40 см |
|
1 дм 3 см < 30 см 13 см < 30 см |
|
1 дм 5 см < 50 см 15 см < 50 см |
Выберите год учебника
Стр. 8 учебника 2023-2026:
5. Юра написал в первой строке 10 цифр, а во второй — на 3 цифры меньше. Задай вопрос так, чтобы в задаче был ответ: 17 цифр.
Стр. 8 учебника 2011-2022:
5. Юра написал в первой строке 10 цифр, а во второй — на 3 цифры меньше. Сколько цифр он написал во второй строке? Сколько всего цифр написал Юра?
Повтори, что такое больше-меньше и состав числа 10.
Стр. 8 учебника 2023-2026:
Решение
Сколько всего цифр написал Юра?
1) 10 - 3 = 7 (ц.)
2) 10 + 7 = 17 (ц.)
Ответ: 7 цифр на второй строке, 17 цифр всего.
Пояснение

к первому действию:
На 3 меньше. Вычитание. Знак минус.
ко второму действию:
Сколько всего? Сложение. Знак плюс.
Стр. 8 учебника 2011-2022:
Решение
1) 10 - 3 = 7 (ц.)
2) 10 + 7 = 17 (ц.)
Ответ: 7 цифр на второй строке, 17 цифр всего.
Пояснение

к первому действию:
На 3 меньше. Вычитание. Знак минус.
ко второму действию:
Сколько всего? Сложение. Знак плюс.
6. Высота письменного стола 7 дм, а высота журнального столика 5 дм. На сколько дециметров журнальный столик ниже письменного стола?
7.
13 - = 7 |
9 + = 18 |
5 + = 14 |
12 - = 5 |
8 + = 16 |
4 + = 11 |
Выберите год учебника
Стр. 8 учебника 2023-2026:
8. 1) По какому правилу меняется длина каждого следующего звена ломаной по сравнению с предыдущим?
2) Какой будет длина следующего звена ломаной? предыдущего звена?

Стр. 8 учебника 2011-2022:
8. 1) На сколько сантиметров каждое следующее звено ломаной больше предыдущего?
2) Какой должна быть длина следующего звена?

Повтори, что такое ломаная линия, вспомни, что такое сантиметр.
Стр. 8 учебника 2023-2026:
Решение
1 звено - 2 см
2 звено - 3 см
3 звено - 4 см
4 звено - 5 см
1) Каждое следующее звено ломаной больше предыдущего на 1 см.
2) Длина следующего звена 6 см.
Длина предыдущего звена 1 см.
Пояснение
к вопросу 1:
1 звено - 2 см
2 звено - 3 см
3 звено - 4 см
4 звено - 5 см
Каждое звено на 1 см больше предыдущего звена.
к вопросу 2:
Следующее звено - 6 см, потому что 5 + 1 = 6 (см)
Предыдущее звено - 1 см, потому что 2 - 1 = 1 (см)
Стр. 8 учебника 2011-2022:
Решение
1 звено - 2 см
2 звено - 3 см
3 звено - 4 см
4 звено - 5 см
1) Каждое следующее звено ломаной больше предыдущего на 1 см.
2) Длина следующего звена 6 см
Пояснение
к вопросу 1:
1 звено - 2 см
2 звено - 3 см
3 звено - 4 см
4 звено - 5 см
Каждое звено на 1 см больше предыдущего звена.
к вопросу 2:
Следующее звено - 6 см, потому что 5 + 1 = 6 (см)
Запиши число, в котором
3 дес. 0 ед.; 6 дес. 9 ед.; 9 дес. 6 ед.
Повтори счёт от 1 до 100.
Вернуться к содержанию учебника