Вернуться к содержанию учебника
1. Прочитай задачи и реши их.
1) 
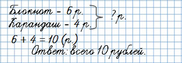
Вера купила блокнот за 6 р. и карандаш за 4 р. Сколько всего рублей стоили блокнот и карандаш вместе?
2) На 10 р. Вера купила блокнот и карандаш. Блокнот стоил 6 р. Сколько стоил карандаш?
3) На 10 р. Вера купила блокнот и карандаш. Карандаш стоил 4 р. Сколько стоил блокнот?
Рассмотри схемы к этим задачам и объясни, чем эти задачи похожи и чем различаются.

В задачах 2 и 3 известно то, о чём спрашивается в задаче 1, а надо узнать то, что в задаче 1 известно. Вторую и третью задачи называют обратными первой.
В нашем справочнике повтори, что такое обратная задача.
Решение
1) 6 + 4 = 10 (р.)
Ответ: всего 10 рублей.
2) 10 - 6 = 4 (р.0
Ответ: карандаш стоил 4 рубля.
3) 10 - 4 = 6 (р.)
Ответ: блокнот стоил 6 рублей.
На схемах меняются искомые величины.
Пояснение
Задача 1:


Задача 2:


Это обратная задача к первой задаче.
Задача 3:


Это обратная задача к первой задаче.
2. Володя поймал 4 окуня и 3 леща. Сколько всего рыб он поймал? Реши задачу.
Составь две задачи, обратные данной, и реши их.
В нашем справочнике повтори, что такое обратная задача.
Решение
4 + 3 = 7 (р.)
Ответ: всего 7 рыб.
Обратная задача 1:
Володя поймал 7 рыб, среди которых было 4 окуня, а остальные - лещи. Сколько лещей поймал Володя?
7 - 4 = 3 (р.)
Ответ: 3 леща.
Обратная задача 2:
Володя поймал 7 рыб, среди которых было несколько окуней и 3 леща. Сколько окуней поймал Володя?
7 - 3 = 4 (р.)
Ответ: 4 окуня.
Пояснение

Сколько всего? Сложение. Знак плюс.
Обратная задача 1:

Обратная задача 2:

3. Начерти два отрезка: один длиной 5 см, а другой на 10 мм короче. Запиши, чему равна длина второго отрезка в миллиметрах.
В 1 сантиметре 10 миллиметров.

4.
| 13 - 7 | 6 + 8 | 90 - 20 |
| 14 - 7 | 7 + 8 | 80 - 30 |
| 15 - 7 | 8 + 8 | 70 - 40 |
| ... | ... | ... |
Решение
| 13 - 7 = 6 | 6 + 8 = 14 | 90 - 20 = 70 |
| 14 - 7 = 7 | 7 + 8 = 15 | 80 - 30 = 50 |
| 15 - 7 = 8 | 8 + 8 = 16 | 70 - 40 = 30 |
| 16 - 7 = 9 | 9 + 8 = 17 | 60 - 50 = 10 |
Пояснение
к первому столбику:
В каждом примере уменьшаемое увеличивается на 1. Вычитаемое не меняется. Разность увеличивается на 1.
ко второму столбику:
В каждом примере первое слагаемое увеличивается на 1. Второе слагаемое не меняется. Сумма увеличивается на 1.
к третьему столбику:
В каждом примере уменьшаемое уменьшается на 10. Вычитаемое увеличивается на 10. Разность уменьшается на 20.
5. У Юры, Димы и Алёши живут собаки: пудель, такса и овчарка, по одной у каждого мальчика. У Димы — не такса, у Юры — не овчарка и не такса. Какая собака у Алёши?
Запиши данные в таблицу и реши.
Проверочные работы, с. 8, 9.
На нашем сайте есть решение варианта 1 проверочной работы на странице 8.
На нашем сайте есть решение варианта 2 проверочной работы на странице 9.
Вернуться к содержанию учебника