Вернуться к содержанию рабочей тетради
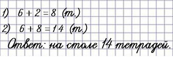
На столе было 6 тетрадей в линейку, а в клетку на 2 тетради больше. Сколько всего тетрадей в линейку и в клетку было на столе?
По этой задаче составлен схематический рисунок:

и схематический чертёж:

Дополни схематический чертёж нужными числами и реши задачу.

Вспомни, что значит больше-меньше, повтори случаи табличного сложения.

Андрей на 2 года старше Саши, а Саша на 3 года старше Вадима. На сколько лет Вадим младше Андрея?
Если решение вызовет затруднение, сделай схематический чертёж к задаче.
Старше, значит, ему больше лет.
Вернуться к содержанию рабочей тетради