Вернуться к содержанию учебника
24. Выполни действия и проверь вычитание сложением, а сложение вычитанием.
| 80 - 7 | 63 + 30 | 78 - 40 | 26 + 4 |
Повтори действия с двузначными числами.


Вспомни, как проверить результат сложения и результат вычитания.
Решение
|
80 - 7 = 73 Проверка 73 + 7 = 80 |
78 - 40 = 38 Проверка 38 + 40 = 78 |
|
63 + 30 = 93 Проверка 93 - 63 = 30 |
26 + 4 = 30 Проверка 30 - 4 = 26 |
Пояснение
Чтобы проверить сложение вычитанием, можно использовать любой из следующих способов:
Чтобы проверить вычитание сложением, нужно к разности прибавить вычитаемое и в результате сложения должно получиться уменьшаемое.
|
80 - 7 = (70 + 10) - 7 = 70 + (10 - 7) = 70 + 3 = 73 Проверка 73 + 7 = 70 + 3 + 7 = 70 + 10 = 80 |
78 - 40 = (70 + 8) - 40 = (70 - 40) + 8 = 30 + 8 = 38 Проверка 38 + 40 = (30 + 8) + 40 = 30 + 40 + 8 = 70 + 8 = 78 |
|
63 + 30 = (60 + 3) + 30 = (60 + 30) + 3 = 90 + 3 = 93 Проверка 93 - 63 = 93 - 60 - 3 = 33 - 3 = 30 |
26 + 4 = (20 + 6) + 4 = 20 + (6 + 4) = 20 + 10 = 30 Проверка 30 - 4 = (20 + 10) - 4 = 20 + (10 - 4) = 20 + 6 = 26 |

Как изменялось уменьшаемое? вычитаемое? разность?
Повтори действия с двузначными числами.
Чтобы найти неизвестное вычитаемое, нужно из уменьшаемого вычесть разность.
Чтобы найти уменьшаемое, нужно к разности прибавить вычитаемое.
26. У фермера было 3 лошади, коров на 8 больше, а овец столько, сколько лошадей и коров вместе. Сколько было овец?
Вспомни, что значит столько же, больше-меньше.
Повтори, как оформить решение задачи.
27. В автобусе ехали 10 мужчин и 6 женщин. На остановке сели ещё 2 человека и никто не вышел. Сколько стало ...?

28. На строительстве дома работали 20 каменщиков и 16 маляров. На другую работу перевели 8 человек. Сколько человек осталось на строительстве?
Повтори действия с двузначными числами.
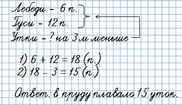
29. В пруду зоопарка плавали 6 лебедей, 12 гусей, а уток на 3 меньше, чем лебедей и гусей вместе. Сколько уток плавало в пруду?
30. Дима нёс сумку с фруктами. Масса сумки 1 кг, а масса фруктов на 7 кг больше. На какой вопрос ответишь, выполнив действия:
1) 1 + 7; 2) 1 + (1 + 7)?
31. Составь по схематическому чертежу задачу и реши её.

Повтори, из каких частей состоит задача?
Найди периметр каждой фигуры:

Повтори, как найти периметр многоугольника.
Вернуться к содержанию учебника