Задание 381 - ГДЗ Математика 6 класс. Виленкин, Жохов, Чесноков. Учебник

Старая и новая редакции

Вернуться к содержанию учебника

378 379 380 381 382 383 384

Вопрос

Выберите год учебника

№381 учебника 2018-2020 (стр. 70):

Выполните сложение:


№381 учебника 2011-2017 (стр. 62):

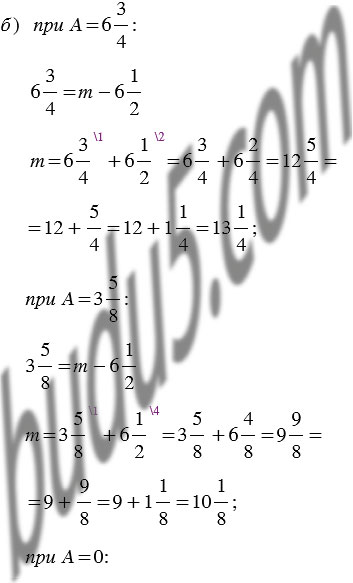
Найдите по формуле :

а) значение А, если

б) значение , если

Подсказка

№381 учебника 2018-2020 (стр. 70):

Вспомните:

1. Алгоритм сложения смешанных чисел.

2. Приведение дробей к общему знаменателю.


№381 учебника 2011-2017 (стр. 62):

Вспомните:

  1. Правила, по которым находят неизвестные компоненты при сложении и вычитании.
  2. Сложение и вычитание смешанных чисел.
  3. Приведение дробей к общему знаменателю.

Ответ

№381 учебника 2018-2020 (стр. 70):


№381 учебника 2011-2017 (стр. 62):


Вернуться к содержанию учебника