Вернуться к содержанию учебника
Выберите год учебника
№431 учебника 2018-2020 (стр. 76):
Решите уравнение:

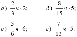
№431 учебника 2011-2017 (стр. 71):
Выполните умножение:

№431 учебника 2018-2020 (стр. 76):
Вспомните:
№431 учебника 2011-2017 (стр. 71):
Вспомните:
Вернуться к содержанию учебника