Вернуться к содержанию рабочей тетради
Выберите год рабочей тетради
Стр. 16 рабочей тетради 2023-2026:
Из цифр 9, 1, 7 составь все возможные двузначные числа.

1) Запиши эти числа в порядке возрастания.

2) Найди сумму только тех чисел, которые содержат 1 дес.

3) Найди и запиши два числа, разность которых равна 20, 60, 80.

4) Найди и запиши два числа, сумма которых равна 30, 88, 90.

Стр. 16 рабочей тетради 2011-2022:
Восстанови пропущенные цифры, чтобы получились верные решения.

Стр. 16 рабочей тетради 2023-2026:
Вариант ответа #1:

Задание 1:

Задание 2:

Задание 3:

Задание 4:

Пояснение
К заданию 3:
также можно составить следующие разности:

К заданию 4:
также можно составить следующие суммы:

Вариант ответа #2:
99, 91, 97, 11, 17, 19, 77, 79, 71
Задание 1:
11, 17, 19,71, 77, 79, 91, 97, 99
Задание 2:
11 + 17 + 19 = 47
Задание 3:
| 20 | 60 | 80 |
|
99 - 79 = 20 97 - 77 = 20 |
79 - 19 = 60 71 - 11 = 60 |
99 - 19 = 80 91 - 11 = 80 |
Задание 4:
| 30 | 88 | 90 |
| 11 + 19 = 30 |
77 + 11 = 88 71 + 17 = 88 |
79 + 11 = 90 71 + 19 = 90 |
Стр. 16 рабочей тетради 2011-2022:

Выберите год рабочей тетради
Стр. 16 рабочей тетради 2023-2026:
Раскрась все симметричные многоугольники.

Стр. 16 рабочей тетради 2011-2022:
Длина ломаной, состоящей из трёх звеньев, равна 15 см. Длина одного звена равна 4 см. Найди длины двух других звеньев, если одно из них на 1 см короче другого.

Чтобы найти длину ломаной линии, нужно сложить длины всех её звеньев.
Стр. 16 рабочей тетради 2023-2026:
Вариант ответа #1:
Решение

Пояснение

Ось симметрии фигуры - это прямая, которая делит фигуру на две симметричные части (если по этой прямой перегнуть фигуру, то ее части наложатся друг на друга).
Вариант ответа #2:

Стр. 16 рабочей тетради 2011-2022:
Вариант ответа #1:
Решение

Вариант ответа #2:
Решение
15 - 4 = 11 (см)
11 - это 5 и 6
Ответ: 5 см, 6 см
Пояснение
Рассуждай так:
Длина двух оставшихся звеньев равна 11 см, потому что 15 - 4 = 11 (см).
Если бы звенья были равны, их сумма была бы равна 10 см, потому что 11 - 1 = 10 (см).
10 - это 5 и 5
Значит, длина 1 звена будет 5 см, а по условию задания длина второго звена на 1 см больше, значит,
5 + 1 = 6 (см)
Вычисли значение выражений:

Повтори действия с двузначными числами.
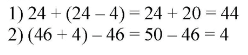
Запиши и вычисли:
1) сумму, в которой первое слагаемое 24, а второе слагаемое на 4 меньше первого;
2) разность, в которой вычитаемое 46, а уменьшаемое на 4 больше вычитаемого.

Вариант ответа #1:
Решение

Пояснение
к заданию 1:
второе слагаемое 24 - 4 = 20
Меньше. Вычитание. Знак минус.
к заданию 2:
уменьшаемое 46 + 4 = 50
Больше. Сложение. Знак плюс.
Вариант ответа #2:
Решение

Пояснение
к заданию 1:
второе слагаемое 24 - 4 = 20
Меньше. Вычитание. Знак минус.
к заданию 2:
уменьшаемое 46 + 4 = 50
Больше. Сложение. Знак плюс.
Вернуться к содержанию рабочей тетради