Вернуться к содержанию рабочей тетради
Выберите год рабочей тетради
Стр. 48 рабочей тетради 2023-2026:
Используя произведение, найди частное:

Стр. 48 рабочей тетради 2011-2022:
Закончи записи, заменяя каждое число суммой одинаковых слагаемых.

Сумму одинаковых слагаемых можно заменить умножением.
Выберите год рабочей тетради
Стр. 48 рабочей тетради 2023-2026:


Стр. 48 рабочей тетради 2011-2022:


Повтори, как найти значение буквенного выражения.
Стр. 48 рабочей тетради 2023-2026:
Решение

Пояснение
|
9 • 3 < 10 • 3 множитель меньше, значит, произведение меньше 27 < 30 |
|
0 • 7 < 0 + 7 при умножении на 0 всегда получается 0 0 < 7 |
|
8 • 3 > 8 • 2 множитель больше, значит, произведение больше 24 > 16 |
|
4 см 8 мм < 8 см 4 мм 48 мм < 84 мм |
|
66 дм + 6 м 6 дм 66 дм = 66 дм |
|
1 м = 100 см 100 см = 100 см |
Стр. 48 рабочей тетради 2011-2022:

Пояснение
Чтобы найти значение буквенного выражения, нужно в это выражение вместо буквы подставить данные числа и выполнить вычисления.
1) Если с = 9, то с + 8 = 9 + 8 = 17
Если с = 18, то с + 8 = 18 + 8 = 26
Если с = 23, то с + 8 = 23 + 8 = 31
Если с = 40, то с + 8 = 40 + 8 = 48
2) Если k = 16, то k - 7 = 16 - 7 = 9
Если k = 13, то k - 7 = 13 - 7 = 6
Если k = 22, то k - 7 = 22 - 7 = 15
Если k = 50, то k - 7 = 50 - 7 = 43
Выберите год рабочей тетради
Стр. 48 рабочей тетради 2023-2026:
Устно реши задачи. Соедини линией кружок с номером задачи и карточку с выражением для её решения.

Стр. 48 рабочей тетради 2011-2022:
Вычисли.

Стр. 48 рабочей тетради 2023-2026:
Решение

Пояснение

|
Задача 1: 12 : 4 = 3 (м) Ответ: 3 м на одно платье. |
Задача 3: 12 : 3 = 4 (п.) Ответ: 4 платья сшили. |
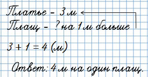
Задача 2:

Стр. 48 рабочей тетради 2011-2022:

Пояснение
29 + 48 = ?
Пишу десятки под десятками, а единицы под единицами.
Складываю единицы: 9 + 8 = 17.
Пишу 7 под единицами, а 1 десяток запоминаю (пишу сверху над десятками).
Складываю десятки: 2 + 4 = 6 и ещё 1 десяток, который запоминали, получается 7.
Пишу 7 под десятками.
Читаю ответ: сумма равна 77.
74 - 25 = ?
Пишу десятки под десятками, а единицы под единицами.
Вычитаю единицы: из 4 не могу вычесть 5, поэтому занимаю 1 десяток (над десятками ставлю точку, чтобы не забыть о том, что десятков стало на один меньше).
14 - 5 = 9
Пишу 9 под единицами.
Вычитаю десятки: из 7 вычитаю 1, который занимали, получилось 6, тогда 6 - 2 = 4.
Пишу 4 под десятками.
Читаю ответ: разность равна 49.
Когда на верхнюю полку поставили ещё 5 книг, а на нижнюю - 7 книг, на каждой полке стало по 13 книг. Сколько книг было на каждой полке сначала?
Вернуться к содержанию рабочей тетради