Вернуться к содержанию учебника
Выберите год учебника
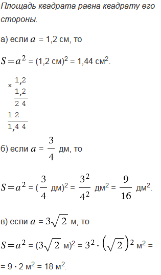
№449 учебника 2013-2022 (стр. 122):
Найдите площадь квадрата, если его сторона равна: а) 1,2 см; б)
дм; в)
м.
№449 учебника 2023-2024 (стр. 120):
Через три данные точки проведите окружность. Всегда ли задача имеет решение?
№449 учебника 2013-2022 (стр. 122):
№449 учебника 2023-2024 (стр. 120):
Вспомните:
№449 учебника 2013-2022 (стр. 122):


№449 учебника 2023-2024 (стр. 120):
Дано: точки А,В,С.
Построить: окружность, на которой лежат точки А,В,С.
Построение:

Ответ: если точки не лежат на одной - одно решение, если точки лежат на одной прямой - решения нет.
Пояснения:
Ставим точки А, В и С, с помощью линейки соединяем точки А и В, А и С, В и С.

Далее находим середины получившихся отрезков АВ, АС, ВС, т.е. строим к ним серединные перпендикуляры. Для того, чтобы построить серединный перпендикуляр к отрезку АВ, строим с помощью циркуля две окружности радиуса АВ с центрами в точках А и В (полностью окружности строить необязательно, смотри выделенное синим и зеленым цветом). Для того, чтобы построить серединный перпендикуляр к отрезку АС, строим две окружности радиуса АС с центрами в точках А и С (полностью окружности строить необязательно, смотри выделенное фиолетовым и коричневым цветом). Для того, чтобы построить серединный перпендикуляр к отрезку ВС, строим две окружности радиуса ВС с центрами в точках В и С (полностью окружности строить необязательно, смотри выделенное красным и оранжевым цветом).

Получаем, что для каждого из отрезков, окружности пересекаются в паре точек. Проводим с помощью линейки через каждую из этих пар точек прямые
,
,
, которые будут серединными перпендикулярами к отрезкам АВ, ВС,АС соответственно.

Прямые
,
,
пересекутся в точке О, данная точка будет центром искомой окружности. Строи окружность с центром в точке О радиуса ОА = ОВ = ОС.

В случае, когда точки не лежат на одной на прямой задача всегда будет иметь одно решение, когда точки лежат на одной прямой задача решения иметь не будет.
Вернуться к содержанию учебника