Задание 1183 - ГДЗ Геометрия 7-9 класс. Атанасян. Учебник

Старая и новая редакции

Вернуться к содержанию учебника

1181 1182 1183 1183 1184 1185 1186

Вопрос

Выберите год учебника

№1183 учебника 2013-2022 (стр. 299):

Даны параллельных прямые и и точка А, не лежащая ни на одной из них. Постройте равносторонний треугольник АВС так, чтобы вершины В и С лежали соответственно на прямых и . Сколько решений имеет задача?


№1183 учебника 2023-2024 (стр. 301):

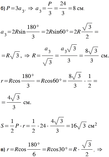
Найдите площадь S правильного -угольника, если: а) = 4, R = см; б) = 3, Р = 24 см; в) = 6, r = 9 см, г) = 8, r = см.

Подсказка

№1183 учебника 2013-2022 (стр. 299):

Вспомнит:

  1. Какие прямые называются параллельными.
  2. Какой треугольник называется равносторонним.
  3. Что такое поворот.

№1183 учебника 2023-2024 (стр. 301):

Вспомните:

  1. Какой многоугольник называется правильным.
  2. Формулу для вычисления площади правильного многоугольника.

Ответ

№1183 учебника 2013-2022 (стр. 299):

Решение задачи приведено в учебнике.


№1183 учебника 2023-2024 (стр. 301):


Вернуться к содержанию учебника