Пусть
- площадь правильного
-угольника,
- его сторона,
- периметр, а
и
- радиусы соответственно вписанной и описанной окружностей.
Докажем, что
.
Доказательство:
Соединим центр О данного многоугольника с вершинами А1, А2, ..., Аn.

Многоугольник разобьется на
равных треугольников, т.е.
А1ОА2 =
А2ОА3 = ... =
А1ОАn по трем сторонам (ОА1 = ОА2 = ... = ОАn, как радиусы описанной окружности и А1А2 = А2А3 = ... = АnА1 =
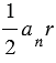
, как стороны правильного многоугольника). Равные треугольники имеют равные площади, поэтому площадь каждого из полученных треугольников будет равна
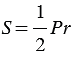
. Следовательно,
(свойство площадей многоугольников). Что и требовалось доказать.
Выведем формулы:


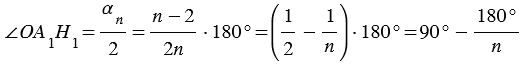
В прямоугольном
А1Н1О:
,
где
- угол правильного многоугольника А1А2А3...Аn.
Н1 - середина А1А2 (смотри следствие из теоремы об окружности, вписанной в правильный многоугольник), следовательно,
, при этом
, откуда
(смотри формулы приведения), следовательно,
.
В прямоугольном
А1Н1О:
, откуда
(смотри формулы приведения), следовательно,
.
Примечание:
Если в формулу
подставить значения
= 3, 4 и 6, получим выражения для сторон правильного треугольника, квадрата и правильного шестиугольника:

Окружность, описанная около правильного многоугольника
Окружность, вписанная в правильный многоугольник
Построение правильных многоугольников
Длина окружности и площадь круга
7 класс
Задание 1089, Атанасян, Бутузов, Кадомцев, Позняк, Юдина, Учебник
Задание 1092, Атанасян, Бутузов, Кадомцев, Позняк, Юдина, Учебник
Задание 1093, Атанасян, Бутузов, Кадомцев, Позняк, Юдина, Учебник
Задание 1098, Атанасян, Бутузов, Кадомцев, Позняк, Юдина, Учебник
Задание 1104, Атанасян, Бутузов, Кадомцев, Позняк, Юдина, Учебник
Задание 1123, Атанасян, Бутузов, Кадомцев, Позняк, Юдина, Учебник
Задание 1136, Атанасян, Бутузов, Кадомцев, Позняк, Юдина, Учебник
Задание 1140, Атанасян, Бутузов, Кадомцев, Позняк, Юдина, Учебник
Задание 1285, Атанасян, Бутузов, Кадомцев, Позняк, Юдина, Учебник
Задание 7, Атанасян, Бутузов, Кадомцев, Позняк, Юдина, Учебник