Рассмотрим прямоугольный треугольник АВС с прямым углом С:

Катет ВС этого треугольника является противолежащим углу А, а катет АС - прилежащим к этому углу.
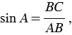
Синусом острого угла прямоугольного треугольника называется отношение противолежащего катета к гипотенузе. Синус угла, который равен
, обозначается символом
, читается: "синус альфа".
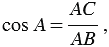
Косинусом острого угла прямоугольного треугольника называется отношение прилежащего катета к гипотенузе. Косинус угла, который равен
, обозначается символом
, читается: "косинус альфа".
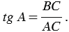
Тангенсом острого угла прямоугольного треугольника называется отношение противолежащего катета к прилежащему катету. Тангенс угла, который равен
, обозначается символом
, читается: "тангенс альфа".
На рисунке
(1)
(2)
(3)
Из формул (1) и (2) получаем:

Сравнивая с формулой (3), находим:
(4)
Получили, что тангенс угла равен отношению синуса к косинусу этого угла.
Докажем, что если острый угол одного прямоугольного треугольника равен острому углу другого прямоугольного треугольника, то синусы этих углов равны, косинусы этих углов равны и тангенсы этих углов равны.
Дано:
АВС,
А1В1С1,
С =
С1 = 900,
А =
А1.
Доказать: sin A = sin A1, cos A = cos A1, tg A = tg A1.
Доказательство:

АВС 
А1В1С1 по первому признаку подобия треугольников (т.к.
С =
С1 = 900,
А =
А1). Из подобия треугольников следует пропорциональность сходственных сторон, поэтому мы можем записать:

Из этих равенств следует, что
т.е. sin A = sin A1. Аналогично
, т.е. cos A = cos A1, и
, т.е. tg A = tg A1, что и требовалось доказать.
Мы получили, что синус, косинус и тангенс острого угла зависит только от величины этого угла.
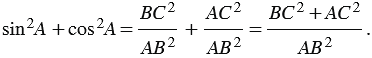
Докажем основное тригонометрическое тождество:

Из формул (1) и (2) получаем

По теореме Пифагора
, поэтому
.
Определение подобных треугольников
Отношение площадей подобных треугольников
Первый признак подобия треугольников
Второй признак подобия треугольников
Третий признак подобия треугольников
Пропорциональные отрезки в прямоугольном треугольнике
Практические приложения подобия треугольников
Значение синуса, косинуса и тангенса для углов 30, 45 и 60
7 класс
Задание 591, Атанасян, Бутузов, Кадомцев, Позняк, Юдина, Учебник
Задание 621, Атанасян, Бутузов, Кадомцев, Позняк, Юдина, Учебник
Задание 647, Атанасян, Бутузов, Кадомцев, Позняк, Юдина, Учебник
Задание 1104, Атанасян, Бутузов, Кадомцев, Позняк, Юдина, Учебник
Задание 1133, Атанасян, Бутузов, Кадомцев, Позняк, Юдина, Учебник
Задание 1212, Атанасян, Бутузов, Кадомцев, Позняк, Юдина, Учебник
Задание 1239, Атанасян, Бутузов, Кадомцев, Позняк, Юдина, Учебник
Задание 1276, Атанасян, Бутузов, Кадомцев, Позняк, Юдина, Учебник
Задание 1277, Атанасян, Бутузов, Кадомцев, Позняк, Юдина, Учебник
Задание 1425, Атанасян, Бутузов, Кадомцев, Позняк, Юдина, Учебник
8 класс
Упражнение 1075, Макарычев, Миндюк, Нешков, Суворова, Учебник
9 класс
Упражнение 12, Макарычев, Миндюк, Нешков, Суворова, Учебник