Теорема
| Отношение площадей двух подобных треугольников равно квадрату коэффициента подобия. |
Дано:
АВС
А1В1С1,
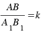
- коэффициент подобия,
и
- площади
АВС и
А1В1С1.
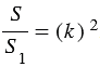
Доказать:
.
Доказательство:

1.
АВС
А1В1С1, следовательно,
А =
А1, значит,
(т.к. площади треугольников, имеющих по равному углу, относятся как произведения сторон, заключающих равные углы). При этом, из подобия треугольников АВС и А1В1С1 следует то, что
, значит,
и
, тогда,
.
Теорема доказана.
Определение подобных треугольников
Первый признак подобия треугольников
Второй признак подобия треугольников
Третий признак подобия треугольников
Пропорциональные отрезки в прямоугольном треугольнике
Практические приложения подобия треугольников
Синус, косинус и тангенс острого угла прямоугольного треугольника
Значение синуса, косинуса и тангенса для углов 30, 45 и 60
7 класс
Задание 543, Атанасян, Бутузов, Кадомцев, Позняк, Юдина, Учебник
Задание 544, Атанасян, Бутузов, Кадомцев, Позняк, Юдина, Учебник
Задание 545, Атанасян, Бутузов, Кадомцев, Позняк, Юдина, Учебник
Задание 546, Атанасян, Бутузов, Кадомцев, Позняк, Юдина, Учебник
Задание 622, Атанасян, Бутузов, Кадомцев, Позняк, Юдина, Учебник
Задание 627, Атанасян, Бутузов, Кадомцев, Позняк, Юдина, Учебник
Задание 1143, Атанасян, Бутузов, Кадомцев, Позняк, Юдина, Учебник
Задание 1209, Атанасян, Бутузов, Кадомцев, Позняк, Юдина, Учебник
Задание 1308, Атанасян, Бутузов, Кадомцев, Позняк, Юдина, Учебник
Задание 1347, Атанасян, Бутузов, Кадомцев, Позняк, Юдина, Учебник
9 класс
Упражнение 595, Макарычев, Миндюк, Нешков, Суворова, Учебник
Упражнение 815, Макарычев, Миндюк, Нешков, Суворова, Учебник