Доказать, что высота прямоугольного треугольника, проведенная из вершины прямого угла, разделяет треугольник на два подобных прямоугольных треугольника, каждый из которых подобен данному треугольнику.
Дано:
АВС - прямоугольный,
С - прямой, СD - высота.
Доказать:
АВС
АСD,
АВС
СВD,
АСD
СВD.
Доказательство:

1. В
АВС и
АСD:
А - общий,
АСВ =
АDС = 900, следовательно,
АВС
АСD (по 1 признаку подобия треугольников).
2. В
АВС и
СВD:
В - общий,
АСВ =
ВDС = 900, следовательно,
АВС
СВD (по 1 признаку подобия треугольников), поэтому из определения подобных треугольников следует, что
АСВ =
ВDС.
3. В
АСD и
СВD:
АСВ =
ВDС,
АDС =
ВDС = 900, следовательно,
АСD
СВD (по 1 признаку подобия треугольников). Что и требовалось доказать.
Средним пропорциональным (или средним геометрическим) двух отрезков АВ и СD, называется такой отрезок ХY, что:
.
|
10. Высота прямоугольного треугольника, проведенная из вершины прямого угла, есть среднее пропорциональное для отрезков, на которые делится гипотенуза этой высотой. |
Дано:
АВС - прямоугольный,
С - прямой, СD - высота, АВ - гипотенуза.
Доказать:
.
Доказательство:

АСD
СВD (доказательство данного утверждения приведено в задаче выше), поэтому сходственные стороны данных треугольников пропорциональны, т.е.
, откуда,
, тогда
. Что и требовалось доказать.
| 20. Катет прямоугольного треугольника есть среднее пропорциональное для гипотенузы и отрезка гипотенузы, заключенного между катетом и высотой, проведенной из вершины прямого угла. |
Дано:
АВС - прямоугольный,
С - прямой, СD - высота, АВ - гипотенуза.
Доказать:
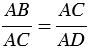
,
.
Доказательство:

1. В
АВС и
АСD:
А - общий,
АСВ =
АDС = 900, следовательно,
АВС
АСD (по 1 признаку подобия треугольников), поэтому сходственные стороны данных треугольников пропорциональны, т.е.
, откуда
, тогда
.
2. В
АВС и
СВD:
В - общий,
АСВ =
ВDС = 900, следовательно,
АВС
СВD (по 1 признаку подобия треугольников), поэтому сходственные стороны данных треугольников пропорциональны, т.е.
, откуда
, тогда
. Что и требовалось доказать.
Определение подобных треугольников
Отношение площадей подобных треугольников
Первый признак подобия треугольников
Второй признак подобия треугольников
Третий признак подобия треугольников
Практические приложения подобия треугольников
Синус, косинус и тангенс острого угла прямоугольного треугольника
Значение синуса, косинуса и тангенса для углов 30, 45 и 60
7 класс
Задание 573, Атанасян, Бутузов, Кадомцев, Позняк, Юдина, Учебник
Задание 574, Атанасян, Бутузов, Кадомцев, Позняк, Юдина, Учебник
Задание 576, Атанасян, Бутузов, Кадомцев, Позняк, Юдина, Учебник
Задание 577, Атанасян, Бутузов, Кадомцев, Позняк, Юдина, Учебник
Задание 578, Атанасян, Бутузов, Кадомцев, Позняк, Юдина, Учебник
Задание 623, Атанасян, Бутузов, Кадомцев, Позняк, Юдина, Учебник
Задание 669, Атанасян, Бутузов, Кадомцев, Позняк, Юдина, Учебник
Задание 855, Атанасян, Бутузов, Кадомцев, Позняк, Юдина, Учебник
Задание 868, Атанасян, Бутузов, Кадомцев, Позняк, Юдина, Учебник
Задание 1361, Атанасян, Бутузов, Кадомцев, Позняк, Юдина, Учебник