Теорема
| В прямоугольном треугольнике квадрат гипотенузы равен сумме квадратов катетов. |
Дано: прямоугольный треугольник,
и
- катеты,
- гипотенуза.
Доказать:
.
Доказательство:

Достроим данный треугольник до квадрата со стороной
+
.

Площадь этого квадрата
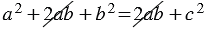
.
Также, по свойству 20 площадей, площадь этого же квадрата
, т.к. данный квадрат составлен из четырех равных прямоугольных треугольников, площадь каждого из которых равна
, и внутреннего четырехугольника со стороной
, который является квадратом, так как каждый угол данного четырехугольника с парой острых углов из двух прямоугольных треугольников образуют развернутый угол, т.е. равный 1800, при этом сумма пары острых углов равна 900 (свойство прямоугольного треугольника), тогда угол внутреннего четырехугольника равен 1800 - 900 = 900. Следовательно, площадь квадрата со стороной
равна
.
Итак,
и
, значит,
, откуда
, следовательно,
. Теорема доказана.
Понятие площади многоугольника
Теорема, обратная теореме Пифагора
7 класс
Задание 493, Атанасян, Бутузов, Кадомцев, Позняк, Юдина, Учебник
Задание 522, Атанасян, Бутузов, Кадомцев, Позняк, Юдина, Учебник
Задание 527, Атанасян, Бутузов, Кадомцев, Позняк, Юдина, Учебник
Задание 638, Атанасян, Бутузов, Кадомцев, Позняк, Юдина, Учебник
Задание 763, Атанасян, Бутузов, Кадомцев, Позняк, Юдина, Учебник
Задание 855, Атанасян, Бутузов, Кадомцев, Позняк, Юдина, Учебник
Задание 892, Атанасян, Бутузов, Кадомцев, Позняк, Юдина, Учебник
Задание 1241, Атанасян, Бутузов, Кадомцев, Позняк, Юдина, Учебник
Задание 1247, Атанасян, Бутузов, Кадомцев, Позняк, Юдина, Учебник
Задание 604, Атанасян, Бутузов, Кадомцев, Позняк, Юдина, Учебник
8 класс
Номер 676, Мерзляк, Полонский, Якир, Учебник
Номер 677, Мерзляк, Полонский, Якир, Учебник
Упражнение 525, Макарычев, Миндюк, Нешков, Суворова, Учебник
Упражнение 528, Макарычев, Миндюк, Нешков, Суворова, Учебник
Упражнение 565, Макарычев, Миндюк, Нешков, Суворова, Учебник
Упражнение 595, Макарычев, Миндюк, Нешков, Суворова, Учебник
Упражнение 596, Макарычев, Миндюк, Нешков, Суворова, Учебник
Упражнение 597, Макарычев, Миндюк, Нешков, Суворова, Учебник
Упражнение 1146, Макарычев, Миндюк, Нешков, Суворова, Учебник
Упражнение 1307, Макарычев, Миндюк, Нешков, Суворова, Учебник
9 класс
Упражнение 422, Макарычев, Миндюк, Нешков, Суворова, Учебник
Упражнение 424, Макарычев, Миндюк, Нешков, Суворова, Учебник
Упражнение 428, Макарычев, Миндюк, Нешков, Суворова, Учебник
Упражнение 429, Макарычев, Миндюк, Нешков, Суворова, Учебник
Упражнение 509, Макарычев, Миндюк, Нешков, Суворова, Учебник
Упражнение 612, Макарычев, Миндюк, Нешков, Суворова, Учебник
Упражнение 736, Макарычев, Миндюк, Нешков, Суворова, Учебник
Упражнение 757, Макарычев, Миндюк, Нешков, Суворова, Учебник
Упражнение 202, Макарычев, Миндюк, Нешков, Суворова, Учебник
Упражнение 458, Макарычев, Миндюк, Нешков, Суворова, Учебник