Теорема
Площадь треугольника со сторонами , , выражается формулой , где - полупериметр треугольника. |
Дано:
АВС, АВ =
, ВС =
, АС =
,
- площадь
АВС.
Доказать:
, где
.
Доказательство:
В любом треугольнике по крайней мере два угла острые (свойство треугольника). Пусть в
АВС углы А и В - острые. Тогда основание Н высоты СН лежит на стороне АВ. Пусть СН =
, АН =
, НВ =
.

СНВ и
СНА- прямоугольные (т.к. СН - высота), тогда по теореме Пифагора
и
, откуда
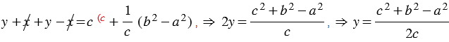
, следовательно,
, или
, при этом
(1), тогда
, откуда
. (2)
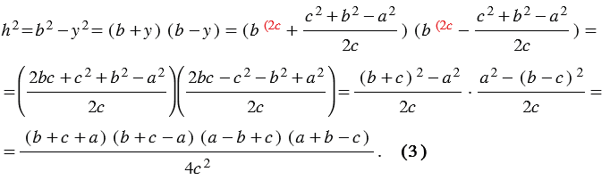
Сложим равенства (1) и (2), получим:
.
Поэтому
При этом
, тогда:

Подставляя выражения (4), (5), (6) и (7) в выражение (3), получим:

Следовательно,
.
По формуле площади треугольника:
, значит,
.
Теорема доказана.
Полученная формула называется формулой Герона.
Понятие площади многоугольника
Теорема, обратная теореме Пифагора
7 класс
Задание 525, Атанасян, Бутузов, Кадомцев, Позняк, Юдина, Учебник
Задание 12, Атанасян, Бутузов, Кадомцев, Позняк, Юдина, Учебник