Задание 1090 - ГДЗ Геометрия 7-9 класс. Атанасян. Учебник

Старая и новая редакции

Вернуться к содержанию учебника

1088 1089 1090 1090 1091 1092 1093

Вопрос

Выберите год учебника

№1090 учебника 2013-2022 (стр. 277):

Сечение головки газового вентиля имеет форму правильного треугольника, сторона которого равна 3 см. Каким должен быть минимальный диаметр круглого железного стержня, из которого изготовляют вентиль?


№1090 учебника 2023-2026 (стр. 270):

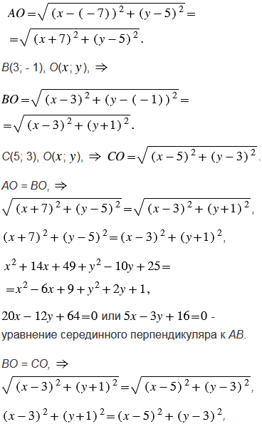
Вершины треугольника АВС имеют координаты А(- 7; 5), В(3; - 1), С(5; 3). Составьте уравнения: а) серединных перпендикуляров к сторонам треугольника; б) прямых АВ, ВС и СА; в) прямых, на которых лежат средние линии треугольника.

Подсказка

№1090 учебника 2013-2022 (стр. 277):

Вспомните:

  1. Что такое треугольник.
  2. Какой многоугольник называется правильным.
  3. Значение синуса для угла 600.
  4. Какая окружность называется описанной около многоугольника.
  5. Формула для вычисления стороны правильного многоугольника.

№1090 учебника 2023-2026 (стр. 270):

Вспомните:

  1. Что такое треугольник.
  2. Координаты точки.
  3. Что такое прямая.
  4. Уравнение прямой.
  5. Что такое серединный перпендикуляр.
  6. Что такое средняя линия треугольника.

Ответ

№1090 учебника 2013-2022 (стр. 277):


№1090 учебника 2023-2026 (стр. 270):


Вернуться к содержанию учебника