Для того, чтобы определить координаты (
,
) точки М в прямоугольной системе координат через точку М проводим прямые перпендикулярные к осям координат и обозначаем через М1 и М2 точки пересечения этих прямых с осями
и
соответственно (Рис. 1).

Число
(абсцисса точки М) определяется так:
= ОМ1, если М1 точка положительной полуоси (Рис. 1,
),
= - ОМ1, если М1 - точка отрицательной полуоси (Рис. 1, б);
= 0, если М1 совпадает с точкой
.
Аналогично определяется число
(ордината точки М). На рисунке 2 изображена прямоугольная система координат
и отмечены точки:
А(4; 3), В(- 5; 2), С(- 3,5;0).

На рисунке 3 вектор
называется радиус-вектором точки М.

| Координаты точки М равны соответствующим координатам ее радиус-вектора. |
Дано: М(
,
),
- радиус-вектор.
Доказать:
,
.
Доказательство:
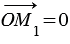
Если 
0 (как на рисунке 3,
), то
= ОМ1, а векторы
и
сонаправлены. Поэтому
.
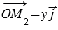
Если 
0 (как на рисунке 3, б), то
= - ОМ1, а векторы
и
противоположно направлены. Поэтому
.
Если
= 0, то
и равенство
также будет справедливо.
Получаем, что в любом случае
. Аналогично доказывается, что
.
Следовательно,
, значит, координаты радиус-вектора
равны
, т.е. равны соответствующим координатам точки М. Что и требовалось доказать.
Рассмотрим вектор
в прямоугольной системе координат
и выразим его координаты через координаты его начала А и конца В. Пусть точка А имеет координаты (
1,
1), а точка В - координаты (
2,
2) (Рис. 4).

Вектор
равен разности векторов
и
, значит, его координаты равны разностям соответствующих координат векторов
и
. Но
и
- радиус-векторы точек В и А, и поэтому
имеет координаты
, а
имеет координаты
. Следовательно, вектор
имеет координаты
.
Вывод:
| Каждая координата вектора равна разности соответствующих координат его конца и начала. |
На рисунке 5 точки В и С имеют координаты (1; 4) и (4; 2), поэтому координаты вектора
равны
или
.

Разложение вектора по двум неколлинеарным векторам
Простейшие задачи в координатах
Взаимное расположение двух окружностей
7 класс
Задание 935, Атанасян, Бутузов, Кадомцев, Позняк, Юдина, Учебник
Задание 939, Атанасян, Бутузов, Кадомцев, Позняк, Юдина, Учебник
Задание 940, Атанасян, Бутузов, Кадомцев, Позняк, Юдина, Учебник
Задание 943, Атанасян, Бутузов, Кадомцев, Позняк, Юдина, Учебник
Задание 953, Атанасян, Бутузов, Кадомцев, Позняк, Юдина, Учебник
Задание 1005, Атанасян, Бутузов, Кадомцев, Позняк, Юдина, Учебник
Задание 1006, Атанасян, Бутузов, Кадомцев, Позняк, Юдина, Учебник
Задание 1256, Атанасян, Бутузов, Кадомцев, Позняк, Юдина, Учебник
Задание 1265, Атанасян, Бутузов, Кадомцев, Позняк, Юдина, Учебник
Задание 12, Атанасян, Бутузов, Кадомцев, Позняк, Юдина, Учебник