Задание 949 - ГДЗ Геометрия 7-9 класс. Атанасян. Учебник

Старая и новая редакции

Вернуться к содержанию учебника

947 948 949 949 950 951 952

Вопрос

Выберите год учебника

№949 учебника 2013-2022 (стр. 233):

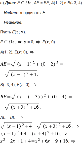
На оси абсцисс найдите точку, равноудаленную от точек:

а) А(1; 2) и В(- 3; 4); б) С(1; 1) и D(3; 5).


№949 учебника 2023-2026 (стр. 235):

Докажите, что если А, В, С и D - произвольные точки, то + + + =.

Подсказка

№949 учебника 2013-2022 (стр. 233):

Вспомните:

  1. Что такое прямоугольная система координат.
  2. Координаты точки.
  3. Как найти расстояние между точками, зная их координаты.

№949 учебника 2023-2026 (стр. 235):

Вспомните:

  1. Что такое вектор, нулевой вектор.
  2. Как найти сумму нескольких векторов.

Ответ

№949 учебника 2013-2022 (стр. 233):


№949 учебника 2023-2026 (стр. 235):


Вернуться к содержанию учебника