Прямоугольная система координат (декаротова система координат) — прямолинейная система координат с взаимно перпендикулярными осями на плоскости или в пространстве. Для задания прямоугольной системы координат нужно провести две взаимно перпендикулярные прямые, на каждой из них выбрать направление (оно обозначается стрелкой) и выбрать единицу измерения отрезков.

На рисунке выше оси
и
перпендикулярны. При выбранной единице измерения отрезков длина каждого отрезка выражается положительным числом. В дальнейшем под длиной отрезка мы будем понимать это число. Так, единичный вектор - это вектор, длина которого равна 1.
Отложим от начала координат О единичные векторы
и
так, чтобы их направления совпадали с направлениями осей
и
соответственно.

Векторы
и
называют координатными векторами.
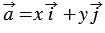
Координатные векторы не коллинеарны, поэтому любой вектор
можно разложить по координатным векторам, т.е. представить в виде
, причем коэффициенты разложения
и
определяются единственным образом. Коэффициенты разложения вектора
по координатным векторам называются координатами вектора
в данной системе координат.
Координаты вектора записывают в фигурных скобках после обозначения вектора:
.

На рисунке выше
.
Нулевой вектор можно представить в виде
, следовательно, его координаты равны нулю:
.
Если векторы
и
равны, то
и
. Значит, координаты равных векторов соответственно равны.
| 10. Каждая координата суммы двух и более векторов равна сумме соответствующих координат этих векторов. |
Дано:
,
,
.
Доказать:
.
Доказательство:
По условию
и
, тогда
и
.
Сложим последние два равенства и применим свойства сложения векторов и умножения вектора на число, получим:
, следовательно, координаты вектора
равны
, т.е.
. Что и требовалось доказать.
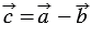
| 20. Каждая координата разности двух векторов равна разности соответствующих координат этих векторов. |
Дано:
,
,
.
Доказать:
.
Доказательство:
По условию
и
, тогда
(1) и
. (2)
Вычтем из равенства (1) равенство (2) и применим свойства сложения векторов и умножения вектора на число, получим:
, следовательно, координаты вектора
равны
, т.е.
. Что и требовалось доказать.
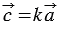
| 30. Каждая координата произведения вектора на число равна произведению соответствующей координаты вектора на это число. |
Дано:
,
- число,
.
Доказать:
.
Доказательство:
По условию
, значит,
.
Умножим последнее равенство на число
и используя свойства умножения вектора на число, получим:
, следовательно, координаты вектора
равны
, т.е.
. Что и требовалось доказать.
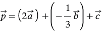
Данные правила позволяют определить координаты любого вектора, представленного в виде алгебраической суммы данных векторов с известными координатами.
Найти координаты вектора
, если известно, что
.
Решение:
По правилу 30 вектор
будет иметь координаты
, т.е.
, вектор
координаты
, т.е.
.
Так как
, то координаты вектора
можно найти по правилу 10:
, т.е.
.
Ответ:
.
Разложение вектора по двум неколлинеарным векторам
Связь между координатами вектора его начала и конца
Простейшие задачи в координатах
Взаимное расположение двух окружностей
7 класс
Задание 918, Атанасян, Бутузов, Кадомцев, Позняк, Юдина, Учебник
Задание 922, Атанасян, Бутузов, Кадомцев, Позняк, Юдина, Учебник
Задание 923, Атанасян, Бутузов, Кадомцев, Позняк, Юдина, Учебник
Задание 931, Атанасян, Бутузов, Кадомцев, Позняк, Юдина, Учебник
Задание 932, Атанасян, Бутузов, Кадомцев, Позняк, Юдина, Учебник
Задание 945, Атанасян, Бутузов, Кадомцев, Позняк, Юдина, Учебник
Задание 990, Атанасян, Бутузов, Кадомцев, Позняк, Юдина, Учебник
Задание 1010, Атанасян, Бутузов, Кадомцев, Позняк, Юдина, Учебник
Задание 20, Атанасян, Бутузов, Кадомцев, Позняк, Юдина, Учебник
Задание 1036, Атанасян, Бутузов, Кадомцев, Юдина, Позняк, Учебник