Лемма
Если векторы и коллинеарны и , то существует такое число , что . |
Дано:
и
коллинеарны,
.
Доказать: существует такое число
, что
.
Доказательство:
Возможны два случая:
1)
.
Пусть число
. Так как
, то векторы
и
сонаправлены.

При этом, их длины равны:
. Следовательно,
.
2)
.
Пусть число
. Так как
, то векторы
и
сонаправлены.

При этом, их длины равны:
. Следовательно,
. Лемма доказана.
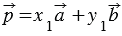
Пусть
и
два данных вектора. Если вектор
представлен в виде
, где
и
- некоторые числа, то говорят, что вектор
разложен по векторам
и
. Числа
и
называются коэффициентами разложения.
Теорема
| На плоскости любой вектор можно разложить по двум данным неколлинеарным векторам, причем коэффициенты разложения определяются единственным образом. |
Дано:
и
неколлинеарные.
Доказать: любой вектор
можно разложить по векторам
и
, т.е.
,
и
определяются единственным образом.
Доказательство:
1 случай
Вектор
коллинеарен одному из векторов
и
, например, вектору
.

Тогда по лемме о коллинеарных векторах вектор
можно представить в виде
, где
- некоторое число, следовательно,
, т.е. вектор
можно разложить по векторам
и
.
2 случай
Вектор
не коллинеарен ни вектору
, ни вектору
.

Отметим какую-нибудь точку О и отложим от нее векторы
. Через точку Р проведем прямую, параллельную прямой ОВ, которая пересечет прямую ОА в точке А1.

По правилу треугольника сложения двух векторов
, при этом векторы
и
коллинеарны векторам
и
, следовательно, по лемме о коллинеарных векторах существуют такие числа
и
такие, что
и
. Поэтому
, т.е. вектор
можно разложить по векторам
и
.
Докажем, что коэффициенты
и
определяются единственным образом.
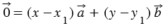
Допустим, что вместе с разложением
(1) существует и другое разложение
. (2)
Вычтем из равенства (1) равенство (2), получим:
, откуда, учитывая правила действий над векторами,
. (3)
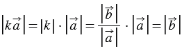
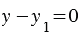
Равенство (3) выполнимо только в том случае, когда
и
. Действительно, если предположить, что
, то из равенства (3) получим, что
, значит, векторы
и
коллинеарны, что противоречит условию теоремы. Следовательно,
и
, откуда
и
, а это говорит о том, что коэффициенты
и
разложения вектора
определяются единственным образом. Теорема доказана.
Связь между координатами вектора его начала и конца
Простейшие задачи в координатах
Взаимное расположение двух окружностей
7 класс
Задание 912, Атанасян, Бутузов, Кадомцев, Позняк, Юдина, Учебник
Задание 914, Атанасян, Бутузов, Кадомцев, Позняк, Юдина, Учебник
Задание 915, Атанасян, Бутузов, Кадомцев, Позняк, Юдина, Учебник
Задание 918, Атанасян, Бутузов, Кадомцев, Позняк, Юдина, Учебник
Задание 920, Атанасян, Бутузов, Кадомцев, Позняк, Юдина, Учебник
Задание 921, Атанасян, Бутузов, Кадомцев, Позняк, Юдина, Учебник
Задание 927, Атанасян, Бутузов, Кадомцев, Позняк, Юдина, Учебник
Задание 928, Атанасян, Бутузов, Кадомцев, Позняк, Юдина, Учебник
Задание 988, Атанасян, Бутузов, Кадомцев, Позняк, Юдина, Учебник
Задание 1, Атанасян, Бутузов, Кадомцев, Позняк, Юдина, Учебник