Метод координат - это подход к изучению свойств геометрических фигур, используя методы алгебры.
Дано: система координат
, А(
1;
1), В(
2;
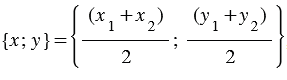
2), С середина отрезка АВ.
Выразить: координаты С(
;
) через координаты концов отрезка АВ.
Решение:

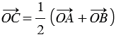
С - середина отрезка АВ, поэтому
. (1)
(Доказательство утверждения (1) приведено в разделе "Применение векторов к решению задач").
Координаты векторов
,
и
равны соответствующим координатам точек С, А и В:
,
и
.
Записывая равенство (1) в координатах, получим:
, следовательно,
и
.
Вывод:
| Каждая координата середины отрезка равна полусумме соответствующих координат его концов. |
Дано:
.
Доказать:
.
Доказательство:
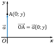
1.
и
.
Отложим от начала координат вектор
и проведем через точку А перпендикуляры АА1 и АА2 к осям
и
.

Координаты точки А равны координатам вектора
, т.е. (
;
). Поэтому
. По теореме Пифагора:
.
Но
, следовательно,
. Что и требовалось доказать.
2.
и
.
Отложим от начала координат вектор
, учитывая то, что
.

.
Но
, следовательно,
. Что и требовалось доказать.
3.
и
.
Отложим от начала координат вектор
, учитывая то, что
.

.
Но
, следовательно,
. Что и требовалось доказать.
Вывод:
| Длина вектора равна квадратному корню из суммы квадратов координат данного вектора. |
Дано: М1(
1;
1), М2(
2;
2),
- расстояние между М1 и М2.
Выразить:
через координаты М1 и М2.
Решение:

Рассмотрим вектор
, каждая его координата равна разности соответствующих координат его конца и начала, т.е.
. Следовательно, длина этого вектора:
.
Но
, значит, расстояние
между точками М1(
1;
1) и М2(
2;
2) выражается формулой:
.
Вывод:
| Расстояние между двумя данными точками равно корню квадратному из суммы квадратов разностей соответствующих координат данных точек. |
Разложение вектора по двум неколлинеарным векторам
Связь между координатами вектора его начала и конца
Взаимное расположение двух окружностей
7 класс
Задание 936, Атанасян, Бутузов, Кадомцев, Позняк, Юдина, Учебник
Задание 944, Атанасян, Бутузов, Кадомцев, Позняк, Юдина, Учебник
Задание 946, Атанасян, Бутузов, Кадомцев, Позняк, Юдина, Учебник
Задание 949, Атанасян, Бутузов, Кадомцев, Позняк, Юдина, Учебник
Задание 950, Атанасян, Бутузов, Кадомцев, Позняк, Юдина, Учебник
Задание 954, Атанасян, Бутузов, Кадомцев, Позняк, Юдина, Учебник
Задание 961, Атанасян, Бутузов, Кадомцев, Позняк, Юдина, Учебник
Задание 990, Атанасян, Бутузов, Кадомцев, Позняк, Юдина, Учебник
Задание 1009, Атанасян, Бутузов, Кадомцев, Позняк, Юдина, Учебник
Задание 1065, Атанасян, Бутузов, Кадомцев, Позняк, Юдина, Учебник
8 класс
Упражнение 283, Макарычев, Миндюк, Нешков, Суворова, Учебник