Выведем уравнение данной прямой
в заданной прямоугольной системе координат. Отметим две точки
и
так, чтобы прямая
была серединным перпендикуляром к отрезку
:

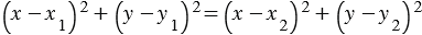
Возьмем точку
, лежащую на прямой
, тогда
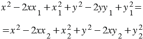
или
, значит, координаты точки
удовлетворяют уравнению
. (1)
В тоже время, если взять точку
, не лежащую на прямой
, то ее координаты не будут удовлетворять уравнению (1). Следовательно, уравнение (1) является уравнением прямой
в заданной системе координат. Возведем выражения в скобках в квадрат:

Приведем подобные члены:


Тогда уравнение (1) примет вид
, (2) где
,
,
. Из того что
и
- различные точки, следует что хотя бы одна из разностей
и
не равна нулю, т.е. хотя бы один из коэффициентов
и
отличен от нуля.
Уравнение прямой в прямоугольной системе координат является уравнением первой степени.
Если в уравнении (2)
0, то его можно записать так:
,
где
,
. Число
называется угловым коэффициентом прямой, заданной этим уравнением.
, имеют одинаковые угловые коэффициенты;Докажем данные утверждения.
Дано:
1
2, М1, С1
1, М2, С2
1
Доказать:
1 =
2
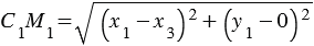
Доказательство:
Выберем точки М1 и М2 на данных прямых так, чтобы их ординаты были равны, т.е. прямая М1М2 параллельна оси
, а точки С1, С2 
:

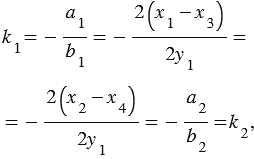
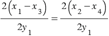
Рассмотрим С1М1М2С2: по условию
1
2, а по построению М1М2
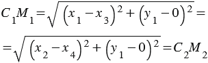
, значит, по определению рассматриваемый четырехугольник параллелограмм. По свойству параллелограмма имеем: М1М2 = С1С2, С1М1 = С2М2.



Возведем левую и правую части в квадрат:

или
, откуда имеем, что
.

что и требовалось доказать.
Дано:
1 =
2, М1, С1
1, М2, С2
1
Доказать:
1
2
Доказательство:
Выберем точки М1 и М2 на данных прямых так, чтобы их ординаты были равны, т.е. прямая М1М2 параллельна оси
, а точки С1, С2 
:

, т.е.
,
или
.

Опустим высоты М1Н1 и М2Н2 и рассмотрим
С1М1Н1 и
С2М2Н2: М1Н1 = М2Н2, как расстояние между параллельными прямыми, С1М1 = С2М2(по доказанному выше),
С1М1Н1 и
С2М2Н2 (по гипотенузе и катету), а в равных треугольниках напротив соответственно равных сторон лежат равные углы, поэтому
М1С1Н1 =
М2С2Н2, но если при пересечении двух прямых секущей соответственные углы равны, то прямые параллельны, значит,
1
2, что и требовалось доказать.
Выведем уравнение прямой
, проходящей через точку
и параллельной оси
:

Абсцисса любой точки
, которая лежит на прямой
, равна
, иными словами, координаты любой точки
прямой
удовлетворяют уравнению
=
. В тоже время координаты любой точки, которая не лежит на данной прямой, этому уравнению не удовлетворяют. Значит, уравнение
=
является уравнением прямой
.
Очевидно, что ось
имеет уравнение
= 0, а ось
- уравнение
= 0.
Разложение вектора по двум неколлинеарным векторам
Связь между координатами вектора его начала и конца
Простейшие задачи в координатах
Взаимное расположение двух окружностей
7 класс
Задание 984, Атанасян, Бутузов, Кадомцев, Позняк, Юдина, Учебник
Задание 1003, Атанасян, Бутузов, Кадомцев, Позняк, Юдина, Учебник
Задание 1004, Атанасян, Бутузов, Кадомцев, Позняк, Юдина, Учебник
Задание 1005, Атанасян, Бутузов, Кадомцев, Позняк, Юдина, Учебник
Задание 1263, Атанасян, Бутузов, Кадомцев, Позняк, Юдина, Учебник
Задание 1265, Атанасян, Бутузов, Кадомцев, Позняк, Юдина, Учебник
Задание 18, Атанасян, Бутузов, Кадомцев, Позняк, Юдина, Учебник
Задание 22, Атанасян, Бутузов, Кадомцев, Позняк, Юдина, Учебник
Задание 24, Атанасян, Бутузов, Кадомцев, Позняк, Юдина, Учебник
Задание 1065, Атанасян, Бутузов, Кадомцев, Позняк, Юдина, Учебник