Теорема
|
Для любых векторов 10. 20. ( |
Дано:
,
и
.
Доказать: 10.
+
=
+
; 20. (
+
) +
=
+ (
+
).
Доказательство:
10. Пусть векторы
и
коллинеарны.

От произвольной точки А отложим векторы
=
и
=
, т.е. векторы
и
будут лежать на одной прямой и на той же прямой от точки А отложим векторы
=
и
=
.

+
=
,
+
=
, тогда
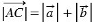
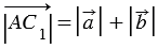
,
, при этом
, так как модуль вектора - это длина отрезка, следовательно,
. Поэтому точки С и С1 совпадают, значит,
=
(по определению равных векторов), значит,
+
=
+
.
Пусть теперь векторы
и
не коллинеарны.

От произвольной точки А отложим векторы
=
и
=
и на этих векторах построим параллелограмм АВСD. Противоположные стороны ВС и АD параллелограмма равны, при этом векторы
и
сонаправлены, следовательно,
=
=
(по определению равных векторов), также DC = АВ (противоположные стороны параллелограмма) и векторы
и
сонаправлены, следовательно,
=
=
.

По правилу треугольника
=
+
=
+
. Аналогично
=
+
=
+
, поэтому
+
=
+
.
20. От произвольной точки А отложим вектор
=
, от точки В - вектор
=
, а от точки С - вектор
=
.

Применяя правило треугольника, получим:
(
+
) +
= (
+
) +
=
+
=
,
+ (
+
) =
+ (
+
) =
+
=
.
Следовательно, (
+
) +
=
+ (
+
).
Теорема доказана.
Чтобы сложить неколлинеарные векторы и , нужно отложить от какой-нибудь точки А векторы = и = и построить параллелограмм АВСD. Тогда вектор равен + . |

Откладывание вектора от данной точки
Применение векторов к решению задач
7 класс
Задание 764, Атанасян, Бутузов, Кадомцев, Позняк, Юдина, Учебник
Задание 765, Атанасян, Бутузов, Кадомцев, Позняк, Юдина, Учебник
Задание 770, Атанасян, Бутузов, Кадомцев, Позняк, Юдина, Учебник
Задание 784, Атанасян, Бутузов, Кадомцев, Позняк, Юдина, Учебник
Задание 802, Атанасян, Бутузов, Кадомцев, Позняк, Юдина, Учебник
Задание 808, Атанасян, Бутузов, Кадомцев, Позняк, Юдина, Учебник
Задание 907, Атанасян, Бутузов, Кадомцев, Позняк, Юдина, Учебник
Задание 908, Атанасян, Бутузов, Кадомцев, Позняк, Юдина, Учебник
Задание 1050, Атанасян, Бутузов, Кадомцев, Позняк, Юдина, Учебник
Задание 8, Атанасян, Бутузов, Кадомцев, Позняк, Юдина, Учебник