Вернуться к содержанию учебника
Вспомни правила умножения с числами 0 и 1 (с. 107 - 108). Вычисли:
| 1 • 8 | 0 • 100 |
| 1 • 1 | 918 • 0 |
| 312 • 1 | 617 • 0 |
| 703 • 1 | 10 • 1 |
| 0 • 35 | 10 • 0 |
Повтори, как называются числа при умножении.
♦ Если один из множителей равен нулю, то произведение равно нулю.
♦ Если один из двух множителей равен 1, то произведение равно другому множителю.
Выберите год учебника
Стр. 78 учебника 2023-2026:
344. (Устно.)
| 0 дес. • 5 + 3 дес. | 0 сот. • 3 + 2 сот. |
| 0 дес. • 7 + 4 тыс. | 0 сот. • 1 + 1 сот. |
Стр. 78 учебника 2011-2022:
340. (Устно.)
| 0 дес. • 5 + 3 дес. | 0 сот. • 3 + 2 сот. |
| 0 дес. • 7 + 4 тыс. | 0 сот. • 1 + 1 сот. |
Повтори состав многозначного числа.
♦ Если один из множителей равен нулю, то произведение равно нулю.
♦ Если один из двух множителей равен 1, то произведение равно другому множителю.
Решение
0 дес. • 5 + 3 дес. = 3 дес. = 30
0 тыс. • 7 + 4 тыс. = 4 тыс. = 4 000
0 сот. • 3 + 2 сот. = 2 сот. = 200
0 сот. • 1 + 1 сот. = 1 сот. = 100
Пояснение
|
0 дес. • 5 + 3 дес. = 3 дес. = 30 1) 0 дес. • 5 = 0 дес. 2) 0 дес. + 3 дес. = 3 дес. |
|
0 тыс. • 7 + 4 тыс. = 4 тыс. = 4 000 1) 0 тыс. • 7 = 0 тыс. 2) 0 тыс. + 4 тыс. = 4 тыс. |
|
0 сот. • 3 + 2 сот. = 2 сот. = 200 1) 0 сот. • 3 = 0 сот. 2) 0 сот. + 2 сот. = 2 сот. |
|
0 сот. • 1 + 1 сот. = 1 сот. = 100 0 сот. • 1 = 0 сот. 2) 0 сот. + 1 сот. = 1 сот. |
Выберите год учебника
Стр. 78 учебника 2023-2026:
345.
| 803 • 5 | 50 801 • 4 | 41 008 • 6 |
| 4 019 • 7 | 90 048 • 7 | 70 032 • 8 |
Стр. 78 учебника 2011-2022:
341.
| 803 • 5 | 50 801 • 4 | 41 008 • 6 |
| 4 019 • 7 | 90 048 • 7 | 70 032 • 8 |
Повтори алгоритм письменного умножения многозначных чисел.
Решение
![]() |
![]() |
![]() |
![]() |
![]() |
|
![]() |
|
Пояснение
Пишу (единицы под единицами, десятки под десятками, сотни под сотнями, единицы тысяч под единицами тысяч, десятки тысяч под десятками тысяч): 50801 • 4.
Умножаю единицы: 1 • 4 = 4. Пишу 4 под единицами.
Умножаю десятки: 0 • 4 = 0. Пишу 0 под десятками.
Умножаю сотни: 8 • 4 = 32. 32 сот. - это 3 ед. тыс. и 2 сот.; 2 сот. пишу под сотнями, а 3 ед. тыс. прибавлю к единицам тысяч после умножения единиц тысяч.
Умножаю единицы тысяч: 0 • 4 = 0. К 0 ед. тыс. прибавляю 3 ед. тыс, которые получены при умножении сотен: 0 + 3 = 3. Пишу 3 под единицами тысяч.
Умножаю десятки тысяч: 5 • 4 = 20. 20 дес. тыс. - это 2 сот. тыс. и 0 дес. тыс.; 0 дес. тыс. пишу под десятками тысяч, а 2 сот. тыс. пишу под сотнями тысяч, так как других сотен тысяч для умножения нет.
Читаю ответ: 203204.
Далее рассуждай аналогично.
Выберите год учебника
Стр. 78 учебника 2023-2026:
346. Начерти три отрезка. Длина первого 8 см 5 мм, что на 7 мм больше длины второго и на 1 см 5 мм меньше длины третьего отрезка.
Стр. 78 учебника 2011-2022:
342. Начерти три отрезка. Длина первого 8 см 5 мм, что на 7 мм больше длины второго и на 1 см 5 мм меньше длины третьего отрезка.
Выберите год учебника
Стр. 78 учебника 2023-2026:
347. Комбайнер убирал 9 дней пшеницу на двух полях. На первом поле он собрал 400 т пшеницы, а на втором - 320 т. Сколько тонн зерна убирал комбайнер за 1 день, если ежедневная выработка была одинаковой?
Стр. 78 учебника 2011-2022:
343. Комбайнер убирал 9 дней пшеницу на двух полях. На первом поле он собрал 400 т пшеницы, а на втором - 320 т. Сколько тонн зерна убирал комбайнер за 1 день, если ежедневная выработка была одинаковой?
Решение
1) 400 + 320 = 720 (т) - пшеницы убрал всего.
| + | 4 | 0 | 0 |
| 3 | 2 | 0 | |
| 7 | 2 | 0 |
2) 720 : 9 = 80 (т)
Ответ: 80 т в день убирал комбайнер.
Пояснение

Сколько всего убрал комбайнер тонн зерна?
1) 400 + 320 = 720 (т)
Сколько тонн зерна убирал комбайнер за 1 день?
2) 720 : 9 = 80 (т)
На первом поле комбайн собрал 400 т пшеницы, а на втором - 320 т. Вычислим, сколько всего тонн пшеницы убрал комбайнер:
1) 400 + 320 = 720 (т)
За 9 дней комбайнер убрал 720 тонн пшеницы. Узнаем, сколько тонн зерна убирал комбайнер за 1 день, если ежедневная выработка была одинаковой:
2) 720 : 9 = 80 (т)
Выберите год учебника
Стр. 78 учебника 2023-2026:
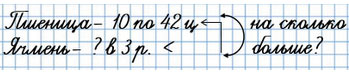
348. На мельницу отправили пшеницу на 10 машинах, по 42 ц на каждой, а ячменя в 3 раза меньше, чем пшеницы. На сколько центнеров больше отправили пшеницы, чем ячменя?
Стр. 78 учебника 2011-2022:
344. На мельницу отправили пшеницу на 10 машинах, по 42 ц на каждой, а ячменя в 3 раза меньше, чем пшеницы. На сколько центнеров больше отправили пшеницы, чем ячменя?
Решение
1) 42 • 10 = 420 (ц) - пшеницы всего.
2) 420 : 3 = 140 (ц) - ячменя.
3) 420 - 140 = 280 (ц)
| • | |||
| - | 4 | 2 | 0 |
| 1 | 4 | 0 | |
| 2 | 8 | 0 |
Ответ: на 280 ц больше отправили пшеницы, чем ячменя.
Пояснение

Сколько всего пшеницы отправили на мельницу?
1) 42 • 10 = 420 (ц)
Сколько всего ячменя отправили на мельницу?
2) 420 : 3 = 140 (ц)
На сколько центнеров больше отправили пшеницы, чем ячменя?
3) 420 - 140 = 280 (ц)
На мельницу отправили пшеницу на 10 машинах, по 42 ц на каждой. Вычислим, сколько всего пшеницы привезли:
1) 42 • 10 = 420 (ц)
На мельницу отправили 420 ц пшеницы, а ячменя в 3 раза меньше. Вычислим, сколько всего ячменя отправили на мельницу:
2) 420 : 3 = (300 + 120) : 3 =
= 300 : 3 + 120 : 3 = 100 + 40 = 140 (ц)
На мельницу отправили 420 ц пшеницы и 140 ц ячменя. Узнаем, на сколько центнеров больше отправили пшеницы, чем ячменя:
3) 420 - 140 = 280 (ц)
Выберите год учебника
Стр. 78 учебника 2023-2026:
349. Запиши выражения и вычисли их значения.
1) Произведение чисел 8 и 3 125 уменьшить на 5 186.
2) Наименьшее шестизначное число увеличить в 10 раз, а результат уменьшить в 1 000 раз.
3) Частное чисел 872 и 8 увеличить в 7 раз.
Стр. 78 учебника 2011-2022:
345. Запиши выражения и вычисли их значения.
1) Произведение чисел 8 и 3 125 уменьшить на 5 186.
2) Наименьшее шестизначное число увеличить в 10 раз, а результат уменьшить в 1 000 раз.
3) Частное чисел 872 и 8 увеличить в 7 раз.
Решение
1) 8 • 3 125 - 5 186 = 19 814
2) 100 000 • 10 : 1 000 = 1 000
3) 872 : 8 • 7 = 763
Пояснение

| 1) | × | 3 | 1 | 2 | 5 |
| 8 | |||||
| 2 | 5 | 0 | 0 | 0 |
| • | • | • | ||||
| 2) | - | 2 | 5 | 0 | 0 | 0 |
| 5 | 1 | 8 | 6 | |||
| 1 | 9 | 8 | 1 | 4 |
Наименьшее шестизначное число - это 100 000.

1) 100 000 • 10 = 1 000 000
2) 1 000 000 : 1 000 = 1 000

| 1) | - | 8 | 7 | 2 | 8 | |||||
| 8 | 1 | 0 | 9 | |||||||
| - | 7 | 2 | ||||||||
| 7 | 2 | |||||||||
| 0 |
| 2) | × | 1 | 0 | 9 |
| 7 | ||||
| 7 | 6 | 3 |
Выберите год учебника
Стр. 78 учебника 2023-2026:
350. Рассмотри рисунки и объясни, чем похожи и чем различаются рисунки: 1 и 2, 2 и 3, 3 и 4, 1 и 4.

Стр. 78 учебника 2011-2022:
346. Рассмотри рисунки и объясни, чем похожи и чем различаются рисунки: 1 и 2, 2 и 3, 3 и 4, 1 и 4.

Повтори, что такое окружность.
1 и 2:
На обоих рисунках две окружности: большая голубая и маленькая розовая. На первом рисунке у окружностей нет общих точек, а на втором окружности имеют одну общую точку.
2 и 3:
На обоих рисунках две окружности: большая голубая и маленькая розовая. На втором рисунке окружности имеют одну общую точку, а на третьем окружности имеют две общие точки.
3 и 4:
На обоих рисунках две окружности: большая голубая и маленькая розовая. На третьем рисунке окружности имеют две общие точки, а на четвёртом рисунке одна окружность расположена внутри другой и окружности не имеют общих точек.
1 и 4:
На обоих рисунках две окружности: большая голубая и маленькая розовая. На обоих рисунках у окружностей нет общих точек, но на первом рисунке окружности находятся рядом друг с другом, а на четвёртом одна окружность внутри другой.
Выберите год учебника
Стр. 78 учебника 2023-2026:
351. Сколько в числе 15 400 десятков? сотен? тысяч? Сколько единиц в числе, содержащем 208 дес.? 32 сот.?
Стр. 78 учебника 2011-2022:
347. Сколько в числе 15 400 десятков? сотен? тысяч? Сколько единиц в числе, содержащем 208 дес.? 32 сот.?
Повтори состав многозначных чисел.
Выберите год учебника
Стр. 78 учебника 2023-2026:
352.
| 45 010 - (3 908 + 17 613) | |
| 60 000 - 2 407 + 5 849 | |
| 6 008 • 9 | 97 168 • 6 |
| 91 005 • 3 | 7 • 23 844 |
Стр. 78 учебника 2011-2022:
348.
| 45 010 - (3 908 + 17 613) | |
| 60 000 - 2 407 + 5 849 | |
| 6 008 • 9 | 97 168 • 6 |
| 91 005 • 3 | 7 • 23 844 |
Решение
| 45 010 - (3 908 + 17 613) = 23 489 | |
| 60 000 - 2 407 + 5 849 = 63 342 | |
![]() |
![]() |
![]() |
![]() |
Пояснение
|
|
|||||||||||||||||||||||||||||||||||||||||||||||
|
|
Пишу (единицы под единицами, десятки под десятками, сотни под сотнями, единицы тысяч под единицами тысяч, десятки тысяч под десятками тысяч): 91 005 • 3.
Умножаю единицы: 5 • 3 = 15. 15 ед. - это 1 дес. и 5 ед., 5 ед. пишу под единицами, а 1 дес. запомню и прибавлю к десяткам после умножения десятков.
Умножаю десятки: 0 • 3 = 0. К 0 дес. прибавляю 1 дес., который получен при умножении единиц: 0 + 1 = 1. Пишу 1 под десятками.
Умножаю сотни: 0 • 3 = 0. Пишу 0 под сотнями.
Умножаю единицы тысяч: 1 • 3 = 3. Пишу 3 под единицами тысяч.
Умножаю десятки тысяч: 9 • 3 = 27. 27 ед. тыс. - это 2 сот. тыс. и 7 дес. тыс.; 7 дес. тыс. пишу под десятками тысяч, а 2 сот. тыс. запишу под сотнями тысяч, так как других сотен тысяч для умножения нет.
Читаю ответ: 273 015.
Далее рассуждаю аналогично.
Выберите год учебника
Стр. 78 учебника 2023-2026:
353. Переставляя карточки с цифрами, сделай равенство верным.

Стр. 78 учебника 2011-2022:
349. Переставляя карточки с цифрами, сделай равенство верным.

Повторите случаи внетабличного деления.
Вычисли.
| 609 • 7 | 32 009 • 3 |
Повтори алгоритм письменного умножения трёхзначных и многозначных чисел на однозначное.
Решение
![]() |
![]() |
Пояснение
Пишу (единицы под единицами, десятки под десятками, сотни под сотнями): 609 • 7.
Умножаю единицы: 9 • 7 = 63. 63 ед. - это 6 дес. и 3 ед., 3 ед. пишу под единицами, а 6 дес. запомню и прибавлю к десяткам после умножения десятков.
Умножаю десятки: 0 • 7 = 0. К 0 дес. прибавляю 6 дес., которые получены при умножении единиц: 0 + 6 = 6. Пишу 6 под десятками.
Умножаю сотни: 6 • 7 = 42. 42 сот. - это 4 ед. тыс. и 2 сот.; 2 сот. пишу под сотнями, а 4 ед. тыс. пишу под единицами тысяч, так как других единиц тысяч для умножения нет.
Читаю ответ: 4 263.
Пишу (единицы под единицами, десятки под десятками, сотни под сотнями, единицы тысяч под единицами тысяч, десятки тысяч под десятками тысяч): 32 009 • 3.
Умножаю единицы: 9 • 3 = 27. 27 ед. - это 2 дес. и 7 ед., 7 ед. пишу под единицами, а 2 дес. запомню и прибавлю к десяткам после умножения десятков.
Умножаю десятки: 0 • 3 = 0. К 0 дес. прибавляю 2 дес., которые получены при умножении единиц: 0 + 2 = 2. Пишу 2 под десятками.
Умножаю сотни: 0 • 3 = 0. Пишу 0 под сотнями.
Умножаю единицы тысяч: 2 • 3 = 6. Пишу 6 под единицами тысяч.
Умножаю десятки тысяч: 3 • 3 = 9. Пишу 9 под десятками тысяч.
Читаю ответ: 96 027.
Ребус:

Повтори алгоритм письменного умножения трёхзначного числа на однозначное.
Решение

Пояснение
При умножении на какое число числа 9 получится 1 в единицах? Это число 9. Пишу число 9 на месте второго множителя. 9 • 9 = 81. Значит, нужно запомнить 8 дес.
Под десятками записано число 5. Мы запомнили 8 дес. То есть после умножения десятков прибавили 8 и получилось 5 на конце. 15 - 8 = 7. Значит, после умножения какого-то числа на 9 на конце должно получиться 7. Это число 3. 3 • 9 = 27. 27 + 8 = 35. Значит, нужно запомнить 3 сот.
После умножения какого-то числа на 9 получилось число с 6 десятками. Это число 7. 7 • 9 = 63. К 63 прибавлю 3 сот., которые получились при умножении десятков: 63 + 3 = 66. Пишу 6 под сотнями.
Вернуться к содержанию учебника