Вернуться к содержанию рабочей тетради
1. Вычисли значения выражений.

Повтори алгоритм устного умножения трёхзначных чисел и письменного умножения многозначных чисел.
Решение

Пояснение
143 • 2 = 100 • 2 + 40 • 2 + 3 • 2 = 286
Пишу: 4335 • 2.
Умножаю единицы: 5 • 2 = 10. 10 ед. - это 1 дес. и 0 ед., 0 ед. пишу под единицами, а 1 дес. запомню и прибавлю к десяткам после умножения десятков.
Умножаю десятки: 3 • 2 = 6. К 6 дес. прибавляю 1 дес., который получен при умножении единиц: 6 + 1 = 7. Пишу 7 под десятками.
Умножаю сотни: 3 • 2 = 6. Пишу 6 под сотнями.
Умножаю единицы тысяч: 4 • 2 = 8. Пишу 8 под единицами тысяч.
Читаю ответ: 8670.
Далее рассуждаем аналогично.
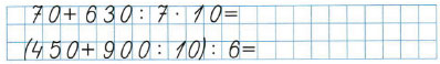
2.

3. Длина реки 2 км 750 м. Она на 900 м длиннее своего притока. Найди длину этого притока.
4. В 9 коробок разложили 54 кг винограда, во все поровну. Сколько потребуется коробок, чтобы разложить так же 126 кг винограда?
Сколько килограммов винограда в 7 таких коробках?
Повтори единицу массы - килограмм.
Вернуться к содержанию рабочей тетради