Номер 752 - ГДЗ Математика 5 класс. Мерзляк, Полонский. Учебник. Страница 190

Вернуться к содержанию учебника

Страница 190

749 750 751 752 753 754 755

Вопрос

Решите уравнение:

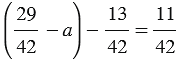
1) ;                 3) ;

2) ;      4)  .

Подсказка

Вспомните:

  1. Что такое дробь.
  2. Сложение и вычитание дробей с одинаковыми знаменателями.
  3. Сложение и вычитание натуральных чисел.
  4. Что называется уравнением.
  5. Что называется корнем уравнения.
  6. Правила нахождения неизвестного слагаемого, уменьшаемого и вычитаемого.

Ответ


Вернуться к содержанию учебника