Вернуться к содержанию учебника
Выберите год учебника
Стр. 101 учебника 2023-2026:
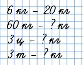
9. Из 20 кг свежего картофеля получается 6 кг сушёного. Сколько свежего картофеля надо переработать, чтобы получить сушёного картофеля 60 кг? 3 ц? 3 т?
Стр. 101 учебника 2011-2022:
24. Маме 34 года, а дочери 13 лет. Сколько лет было маме, когда дочери было 5 лет? Сколько лет было дочери, когда маме было 28 лет?
Стр. 101 учебника 2023-2026:
Решение
1) 60 : 6 • 20 = 200 (кг) - свежего для получения 60 кг сушёного.
2) 3 ц = 300 кг
300 : 6 • 20 = 50 • 20 = 1 000 (кг) = 1 (т) - свежего для получения 3 ц сушёного.
3) 3 т = 3 000 кг
3 000 : 6 • 20 = 10 000 (кг) = 10 (т) - свежего для получения 3 т сушёного.
Ответ: для 60 кг - 200 кг, для 3 ц - 1 т, для 3 т - 10 т.
Пояснение
1 ц = 100 кг, поэтому 3 ц = 300 кг.
1 т = 1 000 кг, поэтому 3 т = 3 000 кг.

Сначала узнаём, во сколько раз больше данное количество килограммов, чем исходное.
Стр. 101 учебника 2011-2022:
Решение
1) 34 - 13 = 21 (г.) - больше маме.
2) 5 + 21 = 26 (л.) - было маме.
3) 28 - 21 = 7 (л.) - было дочери.
Ответ: 26 лет было маме, когда дочери было 5 лет;
7 лет было дочери, когда маме было 28 лет.
Пояснение

Выберите год учебника
Стр. 101 учебника 2023-2026:
10. При посеве гороха на 100 м2 расходуют 2 кг семян. Сколько килограммов гороха можно собрать с участка прямоугольной формы длиной 60 м и шириной 20 м, если урожай гороха в 16 раз больше, чем его расход при посеве?
Сколькими способами можно решить эту задачу?
Стр. 101 учебника 2011-2022:
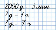
25. Автомат штампует 2 000 деталей каждые 3 мин. Сколько деталей отштампует этот автомат за 1 ч? за 7 ч?
Стр. 101 учебника 2023-2026:
Решение
1 способ:
1) 60 • 20 = 1 200 (м2) - площадь участка.
2) 1 200 : 100 • 2 = 24 (кг) - расход семян гороха на весь участок.
3) 24 • 16 = 384 (кг)
| × | 2 | 4 | |
| 1 | 6 | ||
| + | 1 | 4 | 4 |
| 2 | 4 | ||
| 3 | 8 | 4 |
Ответ: 384 кг гороха можно собрать с участка.
2 способ:
1) 60 • 20 = 1 200 (м2) - площадь участка.
2) 2 • 16 = 32 (кг) - гороха соберут со 100 м2.
3) 1 200 : 100 • 32 = 384 (кг)
Ответ: 384 кг гороха можно собрать с участка.
Пояснение

Задача 1:
Какова площадь участка?
1) 60 • 20 = 1 200 (м2)
Каков расход семян на весь участок?
2) 1 200 : 100 • 2 = 24 (кг)
Сколько килограммов гороха можно собрать с участка?
3) 24 • 16 = 384 (кг)
Длина участка - 60 м, ширина - 20 м. Вычислим площадь участка:
1) 60 • 20 = 1 200 (м2)
Площадь участка - 1 200 м2. При посеве гороха на 100 м2 расходуют 2 кг семян. Вычислим, сколько килограммов семян расходуется:
2) 1 200 : 100 • 2 = 24 (кг)
Расход семян на весь участок - 24 кг. Урожай гороха - в 16 раз больше, чем его расход. Узнаем, сколько килограммов гороха можно собрать с участка:
3) 24 • 16 = 384 (кг)
Задача 2:
Какова площадь участка?
1) 60 • 20 = 1 200 (м2)
Сколько гороха соберут со 100 м2?
2) 2 • 16 = 32 (кг)
Сколько килограммов гороха можно собрать со всего участка?
3) 1 200 : 100 • 32 = 384 (кг)
Длина участка - 60 м, ширина - 20 м. Вычислим площадь участка:
1) 60 • 20 = 1 200 (м2)
На 100 м2 расходуют 2 кг семян. А урожай - в 16 раз больше, чем расход при посеве. Вычислим, сколько гороха можно собрать со 100 м2:
2) 2 • 16 = 32 (кг)
Со 100 м2 можно собрать 32 кг гороха. Площадь участка - 1 200 м2. Узнаем, сколько килограммов гороха можно собрать с участка:
3) 1 200 : 100 • 32 = 384 (кг)
Стр. 101 учебника 2011-2022:
Решение
1 ч = 60 мин
1) 60 : 3 = 20 (р.) - больше за 1 ч, чем 3 мин.
2) 420 : 3 = 140 (р.) - больше 7 ч, чем 3 мин.
3) 2 000 • 20 = 40 000 (д.) - за 1 ч.
4) 2 000 • 140 = 280 000 (д.) - за 7 ч.
Ответ: 40 000 деталей за 1 ч, 280 000 деталей за 7 ч.
Пояснение

Во сколько раз больше 1 ч, чем 3 мин?
1) 60 : 3 = 20 (р.)
Во сколько раз больше 7 ч, чем 3 мин?
2) 420 : 3 = 140 (р.)
Сколько деталей отштампует автомат за 1 ч?
3) 2 000 • 20 = 40 000 (д.)
Сколько деталей отштампует автомат за 7 ч?
4) 2 000 • 140 = 280 000 (д.)
1 ч = 60 мин. Вычислим, во сколько раз больше 1 ч, чем 3 мин:
1) 60 : 3 = 20 (р.)
7 ч = 60 • 7 = 420 мин. Вычислим, во сколько раз больше 7 ч, чем 3 мин:
2) 420 : 3 = 140 (р.)
Автомат штампует 2 000 деталей каждые 3 мин. За 1 ч он отштампует в 20 раз больше. Узнаем, сколько деталей отштампует этот автомат за 1 ч:
3) 2 000 • 20 = 40 000 (д.)
Автомат штампует 2 000 деталей каждые 3 мин. За 7 ч он отштампует в 140 раз больше. Узнаем, сколько деталей отштампует этот автомат за 7 ч:
4) 2 000 • 140 = 280 000 (д.)
Выберите год учебника
Стр. 101 учебника 2023-2026:
11. В два района отправлены учебники одинаковыми пачками: в один - 200 пачек, а в другой - 300 пачек. Сколько учебников отправлено в каждый район, если в первый район отправили на 2 000 учебников меньше, чем во второй?
Стр. 101 учебника 2011-2022:
26. За 7 дней завод изготовил 588 станков. Сколько станков изготовит завод за 24 дня, если каждый день станут выпускать на 1 станок больше?
Стр. 101 учебника 2023-2026:
Стр. 101 учебника 2011-2022:
Стр. 101 учебника 2023-2026:
Решение
1) 300 - 200 = 100 (п.) - больше во второй район.
2) 2 000 : 100 = 20 (уч.) - в 1 пачке.
3) 20 • 200 = 4 000 (уч.) - в 1 район.
4) 20 • 300 = 6 000 (уч.) - во 2 район.
Ответ: 4 000 учебников в первый район, 6 000 учебников во второй район.
Пояснение

На сколько больше пачек учебников было отправлено во второй район?
1) 300 - 200 = 100 (п.)
Сколько учебников было в 1 пачке?
2) 2 000 : 100 = 20 (уч.)
Сколько учебников было отправлено в 1 район?
3) 20 • 200 = 4 000 (уч.)
Сколько учебников было отправлено во 2 район?
4) 20 • 300 = 6 000 (уч.)
В один район отправили 200 пачек учебников, в другой - 300 пачек. Вычислим, на сколько больше пачек учебников отправили во второй район:
1) 300 - 200 = 100 (п.)
В первый район отправили на 2 000 учебников меньше. Значит, 2 000 учебников помещаются в ста пачках. Вычислим, сколько учебников помещается в 1 пачке:
2) 2 000 : 100 = 20 (уч.)
В 1 пачке 20 учебников. В первый район отправили 200 пачек. Узнаем, сколько учебников отправили в первый район:
3) 20 • 200 = 4 000 (уч.)
В 1 пачке 20 учебников. Во второй район отправили 300 пачек. Узнаем, сколько учебников отправили во второй район:
4) 20 • 300 = 6 000 (уч.)
Стр. 101 учебника 2011-2022:
Решение
1) 588 : 7 = 84 (ст.) - за 1 день.
| - | 5 | 8 | 8 | 7 | ||||||||||
| 5 | 6 | 8 | 4 | |||||||||||
| - | 2 | 8 | ||||||||||||
| 2 | 8 | |||||||||||||
| 0 |
2) 84 + 1 = 85 (ст.) - станут выпускать за 1 день.
3) 85 • 24 = 2 040 (ст.)
| × | 8 | 5 | ||
| 2 | 4 | |||
| + | 3 | 4 | 0 | |
| 1 | 7 | 0 | ||
| 2 | 0 | 4 | 0 |
Ответ: 2 040 станков изготовил завод за 24 дня.
Пояснение

Сколько станков выпускает завод за 1 день?
1) 588 : 7 = 84 (ст.)
Сколько станков будет выпускать завод за 1 день?
2) 84 + 1 = 85 (ст.)
Сколько станков изготовит завод за 24 дня?
3) 85 • 24 = 2 040 (ст.)
За 7 дней завод изготовил 588 станков. Вычислим, сколько станков выпускает завод за 1 день:
1) 588 : 7 = 84 (ст.)
Завод выпускает 84 станка за 1 день. Далее он станет выпускать на 1 станок больше. Вычислим, сколько станков будет выпускать завод за 1 день:
2) 84 + 1 = 85 (ст.)
Завод будет выпускать 85 станков за 1 день. Узнаем, сколько станков изготовил завод за 24 дня:
3) 85 • 24 = 2 040 (ст.)
Выберите год учебника
Стр. 101 учебника 2023-2026:
12. Две бригады рабочих должны посадит 490 лип. Сколько лип посадит каждая бригада, если распределить работу по числу рабочих и если в первой бригаде 34 рабочих, а во второй 36?
Стр. 101 учебника 2011-2022:
27. За счёт удачного раскроя материала ателье перевыполнило задание на одну пятнадцатую его часть. Сколько одинаковых блузок изготовило ателье, если задание составляло 75 блузок?
Стр. 101 учебника 2023-2026:
Решение
1) 34 + 36 = 70 (р.) - всего.
2) 490 : 70 = 7 (л.) - на одного рабочего.
3) 7 • 34 = 238 (л.) - для первой бригады.
4) 7 • 36 = 252 (л.) - для второй бригады.
Ответ: 238 лип, 252 липы.
Пояснение

Сколько всего рабочих в двух бригадах?
1) 34 + 36 = 70 (р.)
Сколько лип посадит каждый рабочий?
2) 490 : 70 = 7 (л.)
Сколько лип посадит первая бригада?
3) 7 • 34 = 238 (л.)
Сколько лип посадит вторая бригада?
4) 7 • 36 = 252 (л.)
В первой бригаде 34 рабочих, во второй бригаде - 36 рабочих. Вычислим, сколько всего рабочих в двух бригадах:
1) 34 + 36 = 70 (р.)
70 рабочих посадило 490 лип. Вычислим, сколько лип посадит 1 рабочий:
2) 490 : 70 = 7 (л.)
В первой бригаде 34 рабочих, каждый из которых посадит по 7 лип. Узнаем, сколько лип посадит первая бригада:
3) 7 • 34 = 238 (л.)
Во второй бригаде 36 рабочих, каждый из которых посадит по 7 лип. Узнаем, сколько лип посадит вторая бригада:
4) 7 • 36 = 252 (л.)
Стр. 101 учебника 2011-2022:
Решение
1) 75 : 15 = 5 (бл.) - перевыполнило ателье.
2) 75 + 5 = 80 (бл.)
Ответ: 80 блузок изготовило ателье.
Пояснение

Сколько дополнительных блузок сшило ателье?
1) 75 : 15 = 5 (бл.)
Сколько одинаковых блузок изготовило ателье?
2) 75 + 5 = 80 (бл.)
Ателье перевыполнило задание на одну пятнадцатую его часть. Одна пятнадцатая часть обозначает, что целое число разделили на 15 частей и взяли одну такую часть. Вычислим, на сколько перевыполнило план ателье, если задание составляло 75 блузок:
1) 75 : 15 = 5 (бл.)
Задание составляло 75 блузок, в ателье сшили ещё 5 таких блузок. Узнаем. сколько одинаковых блузок изготовило ателье:
2) 75 + 5 = 80 (бл.)
Выберите год учебника
Стр. 101 учебника 2023-2026:
13. На двух участках посадили деревья: на одном 18 одинаковых рядов, на другом 14 таких же рядов. Всего посадили 1 152 дерева. Сколько деревьев посадили на каждом участке?
Стр. 101 учебника 2011-2022:
28. Площадь кухни 9 м2, что составляет одну восьмую часть площади всей квартиры. Найди площадь квартиры.
Стр. 101 учебника 2023-2026:
Решение
1) 18 + 14 = 32 (р.) - всего.
2) 1 152 : 32 = 36 (д.) - в 1 ряду.
| - | 1 | 1 | 5 | 2 | 3 | 2 | |||||||||
| 9 | 6 | 3 | 6 | ||||||||||||
| - | 1 | 9 | 2 | ||||||||||||
| 1 | 9 | 2 | |||||||||||||
| 0 |
3) 36 • 18 = 648 (д.) - на первом участке.
| × | 3 | 6 | |
| 1 | 8 | ||
| + | 2 | 8 | 8 |
| 3 | 6 | ||
| 6 | 4 | 8 |
4) 36 • 14 = 504 (д.) - на втором участке.
| × | 3 | 6 | |
| 1 | 4 | ||
| + | 1 | 4 | 4 |
| 3 | 6 | ||
| 5 | 0 | 4 |
Ответ: 648 деревьев, 504 дерева.
Пояснение

Сколько всего рядов на двух участках?
1) 18 + 14 = 32 (р.)
Сколько деревьев в одном ряду?
2) 1152 : 32 = 36 (д.)
Сколько деревьев на первом участке?
3) 36 • 18 = 648 (д.)
Сколько деревьев на втором участке?
4) 36 • 14 = 504 (д.)
На одном участке - 18 рядов, на втором - 14 рядов. Вычислим, сколько рядов на обоих участках:
1) 18 + 14 = 32 (р.)
1152 деревьев посадили на 32 рядах. Вычислим, сколько деревьев на одном ряду:
2) 1 152 : 32 = 36 (д.)
На одном участке 18 рядов, по 36 деревьев. Узнаем, сколько деревьев на первом участке:
3) 36 • 18 = 648 (д.)
На втором участке 14 рядов, по 36 деревьев. Узнаем, сколько деревьев на втором участке:
4) 36 • 14 = 504 (д.)
Стр. 101 учебника 2011-2022:
Решение
9 • 8 = 72 (м2)
Ответ: площадь квартиры - 72 м2.
Пояснение
Одна восьмая часть обозначает, что целое число разделили на 8 частей и взяли одну такую часть. Значит, чтобы найти площадь всей квартиры надо одну восьмую умножить на 8.
Выберите год учебника
Стр. 101 учебника 2023-2026:
14. Одна бригада рабочих может посадить 600 плодовых деревьев за 10 дней, а другая - за 15 дней. За сколько дней могут посадить эти деревья две бригады, работая вместе с такой же производительностью?
Стр. 101 учебника 2011-2022:
29. В питомнике вырастили 25 700 саженцев деревьев: саженцев яблонь - 8 580, что на 4 210 меньше, чем саженцев вишен; остальные - саженцы слив. Сколько саженцев слив было выращено в питомнике?
Реши задачу разными способами.
Стр. 101 учебника 2023-2026:
Решение
1) 600 : 10 = 60 (д.) - за 1 день одна бригада.
2) 600 : 15 = 40 (д.) - за 1 день другая бригада.
3) 60 + 40 = 100 (д.) - за 1 день обе бригады.
4) 600 : 100 = 6 (дн.)
Ответ: за 6 дней могут посадить эти деревья две бригады.
Пояснение

Сколько деревьев за 1 день может посадить одна бригада?
1) 600 : 10 = 60 (д.)
Сколько деревьев за 1 день может посадить другая бригада?
2) 600 : 15 = 40 (д.)
Сколько деревьев за 1 день могут посадить обе бригады?
3) 60 + 40 = 100 (д.)
За сколько дней могут посадить эти деревья обе бригады?
4) 600 : 100 = 6 (дн.)
Одна бригада рабочих может посадить 600 плодовых деревьев за 10 дней. Вычислим, сколько деревьев может посадить эта бригада за 1 день:
1) 600 : 10 = 60 (д.)
Другая бригада рабочих может посадить 600 плодовых деревьев за 15 дней. Вычислим, сколько деревьев может посадить эта бригада за 1 день:
2) 600 : 15 = 40 (д.)
Одна бригада может посадить 60 деревьев за 1 день, другая бригада - 40 дней. Вычислим, сколько деревьев могут посадить обе бригады за 1 день:
3) 60 + 40 = 100 (д.)
Обе бригады могут посадить 100 деревьев за 1 день. Узнаем, за сколько дней они смогут посадить 600 деревьев:
4) 600 : 100 = 6 (дн.)
Стр. 101 учебника 2011-2022:
Решение
1 способ:
1) 8 580 + 4 210 = 12 790 (с.) - вишен.
| + | 8 | 5 | 8 | 0 | |
| 4 | 2 | 1 | 0 | ||
| 1 | 2 | 7 | 9 | 0 |
2) 12 790 + 8 580 = 21 370 (с.) - яблонь и вишен.
| + | 1 | 2 | 7 | 9 | 0 |
| 8 | 5 | 8 | 0 | ||
| 2 | 1 | 3 | 7 | 0 |
3) 25 700 - 21 370 = 4 330 (с.) - слив.
| • | |||||
| - | 2 | 5 | 7 | 0 | 0 |
| 2 | 1 | 3 | 7 | 0 | |
| 4 | 3 | 3 | 0 |
Ответ: 4 330 саженцев слив было выращено в питомнике.
2 способ:
1) 8 580 + 4 210 = 12 790 (в.) - вишен.
| + | 8 | 5 | 8 | 0 | |
| 4 | 2 | 1 | 0 | ||
| 1 | 2 | 7 | 9 | 0 |
2) 25 700 - 8 580 = 17 120 (с.) - вишен и слив.
| • | • | ||||
| - | 2 | 5 | 7 | 0 | 0 |
| 8 | 5 | 8 | 0 | ||
| 1 | 7 | 1 | 2 | 0 |
3) 17 120 - 12 790 = 4 330 (с.) - слив.
| • | • | ||||
| - | 1 | 7 | 1 | 2 | 0 |
| 1 | 2 | 7 | 9 | 0 | |
| 4 | 3 | 3 | 0 |
Ответ: 4 330 саженцев слив было выращено в питомнике.
Пояснение

1 способ:
Сколько саженцев вишен вырастили?
1) 8 580 + 4 210 = 12 790 (с.)
Сколько саженцев яблонь и вишен вырастили?
2) 12 790 + 8 580 = 21 370 (с.)
Сколько саженцев слив было выращено в питомнике?
3) 25 700 - 21 370 = 4 330 (с.)
В питомнике вырастили 8 580 саженцев яблонь, что на 4 210 меньше, чем саженцев вишен. Вычислим, сколько саженцев вишен вырастили:
1) 8 580 + 4 210 = 12 790 (в.)
В питомнике вырастили 8 580 саженцев яблонь, а саженцев вишен - 12 790. Вычислим, сколько саженцев яблонь и вишен высадили в питомнике:
2) 12 790 + 8 580 = 21 370 (с.)
В питомнике вырастили 25 700 саженцев деревьев, из них 21 370 - саженцы яблонь и вишен. Узнаем, сколько саженцев слив было выращено в питомнике:
3) 25 700 - 21 370 = 4 330 (с.)
2 способ:
Сколько саженцев вишен вырастили?
1) 8 580 + 4 210 = 12 790 (с.)
Сколько саженцев вишен и слив вырастили?
2) 25 700 - 8 580 = 17 120 (с.)
Сколько саженцев слив было выращено в питомнике?
3) 17120 - 12790 = 4330 (с.)
В питомнике вырастили 8 580 саженцев яблонь, что на 4 210 меньше, чем саженцев вишен. Вычислим, сколько саженцев вишен вырастили:
1) 8 580 + 4 210 = 12 790 (с.)
В питомнике вырастили 25 700 саженцев деревьев, из них 12 790 - саженцы вишен. Вычислим, сколько саженцев яблонь и слив вырастили:
2) 25 700 - 8 580 = 17 120 (с.)
В питомнике вырастили 17 120 саженцев яблонь и слив, из них 8 580 - саженцы яблонь. Узнаем, сколько саженцев слив было выращено в питомнике:
3) 17 120 - 12 790 = 4 330 (с.)
Выберите год учебника
Стр. 101 учебника 2023-2026:
15. В детский сад привезли 10 ящиков моркови, по 9 кг в каждом, и 8 одинаковых по массе ящиков свёклы. Всего привезли 170 кг овощей. Сколько килограммов свёклы было в одном ящике?
Составь и реши задачи, обратные данной.
Стр. 101 учебника 2011-2022:
30. В магазин привезли 11 400 обложек для тетрадей. Через неделю в магазине осталась одна десятая часть привезённых обложек. Сколько обложек продали в течение недели?
Стр. 101 учебника 2023-2026:
Решение
1) 9 • 10 = 90 (кг) - моркови.
2) 170 - 90 = 80 (кг) - свёклы.
3) 80 : 8 = 10 (кг)
Ответ: 10 кг свёклы в 1 ящике.
Обратная задача 1:
В детский сад привезли 8 ящиков свёклы, по 10 кг в каждом, и 10 ящиков моркови. Всего привезли 170 кг овощей. Сколько килограммов моркови было в одном ящике?
1) 10 • 8 = 80 (кг) - свёклы.
2) 170 - 80 = 90 (кг) - моркови.
3) 90 : 10 = 9 (кг)
Ответ: 9 кг моркови в 1 ящике.
Обратная задача 2:
В детский сад привезли 10 ящиков моркови, по 9 кг в каждом, и 8 ящиков свёклы, по 10 кг в каждом. Сколько килограммов овощей всего привезли?
1) 9 • 10 = 90 (кг) - моркови.
2) 8 • 10 = 80 (кг) - свёклы.
3) 90 + 80 = 170 (кг)
Ответ: 170 кг овощей привезли в детский сад.
Пояснение

Сколько килограммов моркови привезли в детский сад?
1) 9 • 10 = 90 (кг)
Сколько килограммов свёклы привезли в детский сад?
2) 170 - 90 = 80 (кг)
Сколько килограммов свёклы было в одном ящике?
3) 80 : 8 = 10 (кг)
В детский сад привезли 10 ящиков моркови, по 9 кг в каждом. Вычислим, сколько килограммов моркови привезли в детский сад:
1) 9 • 10 = 90 (кг)
В детский сад привезли 170 кг овощей, из них 90 кг - моркови. Вычислим, сколько килограммов свёклы привезли:
2) 170 - 90 = 80 (кг)
В детский сад привезли 8 одинаковых по массе ящиков свёклы, в которых было 80 кг свёклы. Узнаем, сколько килограммов свёклы было в одном ящике:
3) 80 : 8 = 10 (кг)
Стр. 101 учебника 2011-2022:
Решение
1) 11 400 : 10 = 1 140 (обл.) - осталось.
2) 11 400 - 1140 = 10 260 (обл.)
Ответ: 10 260 обложек продали.
Пояснение

Сколько обложек осталось?
1) 11 400 : 10 = 1 140 (обл.)
Сколько обложек продали?
2) 11 400 - 1 140 = 10 260 (обл.)
В магазин привезли 11 400 обложек для тетрадей. Осталась одна десятая часть привезённых обложек. Одна десятая часть обозначает, что целое число разделили на 10 частей и взяли одну такую часть. Вычислим, сколько обложек осталось:
1) 11 400 : 10 = 1 140 (обл.)
Привезли 11 400 обложек для тетрадей. Из них 1 140 обложек осталось. Узнаем, сколько обложек продали:
2) 11 400 - 1 140 = 10 260 (обл.)
Выберите год учебника
Стр. 101 учебника 2023-2026:
16. 1) Сестре 12 лет, а брату 7 лет. На сколько лет сестра будет старше брата через 5 лет? через 20 лет?
2) Сыну 9 лет, а его папа на 27 лет старше. Во сколько раз папа старше сына?
Стр. 101 учебника 2011-2022:
31. Урожай яблок в 16 т 128 кг рассчитывали уложить в 576 одинаковых ящиков. В мастерской сделали ящики большего размера, и их потребовалось на 72 меньше. Сколько килограммов яблок помещалось в меньшем ящике и сколько - в большем?
Стр. 101 учебника 2023-2026:
Решение
Задача 1:
12 - 7 = 5 (л.) - сестра старше брата.
Ответ: сестра всегда будет старше брата на 5 лет.
Задача 2:
1) 9 + 27 = 36 (л.) - папе.
2) 36 : 9 = 4 (р.)
Ответ: папа старше сына в 4 раза.
Пояснение
Разница в возрасте всегда неизменна.
Стр. 101 учебника 2011-2022:
Решение
16 т 128 кг = 16 128 кг.
1) 16 128 : 576 = 28 (кг) - в меньшем ящике.
| - | 1 | 6 | 1 | 2 | 8 | 5 | 7 | 6 | ||||||||
| 1 | 1 | 5 | 2 | 2 | 8 | |||||||||||
| - | 4 | 6 | 0 | 8 | ||||||||||||
| 4 | 6 | 0 | 8 | |||||||||||||
| 0 |
2) 576 - 72 = 504 (ящ.) - потребовалось.
3) 16 128 : 504 = 32 (кг)
| - | 1 | 6 | 1 | 2 | 8 | 5 | 0 | 4 | ||||||||
| 1 | 5 | 1 | 2 | 3 | 2 | |||||||||||
| - | 1 | 0 | 0 | 8 | ||||||||||||
| 1 | 0 | 0 | 8 | |||||||||||||
| 0 |
Ответ: 28 кг в меньшем ящике, 32 кг в большем ящике.
Пояснение

Сколько килограммов яблок помещается в меньшем ящике?
1) 16 128 : 576 = 28 (кг)
Сколько ящиков потребовалось?
2) 576 - 72 = 504 (ящ.)
Сколько килограммов яблок помещается в большем ящике?
3) 16 128 : 504 = 32 (кг)
16 т 128 кг рассчитывали уложить в 576 ящиков. Вычислим, сколько килограммов яблок помещается в меньший ящик:
1) 16 128 : 576 = 28 (кг)
Урожай рассчитывали уложить в 576 одинаковых ящиков. Потребовалось на 72 ящика меньше. Вычислим, сколько ящиков потребовалось:
2) 576 - 72 = 504 (ящ.)
16128 кг уложили в 504 ящика. Узнаем, сколько килограммов яблок помещается в больший ящик:
3) 16 128 : 504 = 32 (кг)
1 т = 1 000 кг
Выберите год учебника
Стр. 101 учебника 2023-2026:
Ребус

Стр. 101 учебника 2011-2022:
32. Туристы прошли 18 км, что составило третью часть всего их пути. Какое расстояние должны пройти туристы? Во сколько раз расстояние, которое они прошли, меньше оставшегося пути? Сколько времени они затратят на оставшийся путь, если будут идти со скоростью 4 км/ч?
Стр. 101 учебника 2023-2026:
Повтори алгоритм письменного деления многозначного числа на двузначное.
Стр. 101 учебника 2011-2022:
Повтори взаимосвязь между скоростью, временем и расстоянием, а также способы оформления краткой записи к задаче.
Стр. 101 учебника 2023-2026:
Решение

Пояснение
После деления второго делимого в частном получилось 3. 36 • 3 = 108. Значит, получилось разделить 108. После того, как из второго неполного делимого вычли 108, остаток - однозначное число. Значит, второе неполное делимое - 111.
После того, как разделили первое неполное делимое, получился остаток 11. В первом неполном делимом - 8 десятков. 8 - 1 = 7. Значит, получилось разделить число 72. 72 : 36 = 2.
Третье неполное делимое - двузначное число с 3 десятками. Это число 36.
36 : 36 = 1.
Стр. 101 учебника 2011-2022:
Решение
1) 18 • 3 = 54 (км) - должны пройти туристы.
2) 54 - 18 = 36 (км) - осталось пройти.
3) 36 : 18 = 2 (р.) - меньше.
4) 36 : 4 = 9 (ч)
Ответ: 54 км должны пройти туристы; в 2 раза меньше расстояние, которое прошли, чем оставшееся; 9 ч они затратят на оставшийся путь.
Пояснение

Сколько километров должны пройти туристы?
1) 18 • 3 = 54 (км)
Сколько километров осталось пройти туристам?
2) 54 - 18 = 36 (км)
Во сколько раз расстояние, которое они прошли, меньше оставшегося пути?
3) 36 : 18 = 2 (р.)
Сколько времени они затратят на оставшийся путь, если будут идти со скоростью 4 км/ч?
4) 36 : 4 = 9 (ч)
Туристы прошли 18 км, что составило третью часть пути. Одна третья часть обозначает, что целое число разделили на 3 равные части и взяли одну такую часть. Вычислим, сколько километров должны пройти туристы:
1) 18 • 3 = 54 (км)
Туристам нужно пройти 54 км, из них 18 км уже пройдено. Вычислим, сколько километров осталось пройти туристам:
2) 54 - 18 = 36 (км)
Туристы прошли 18 км, осталось пройти 36 км. Вычислим, во сколько раз расстояние, которое они прошли, меньше оставшегося пути:
3) 36 : 18 = 2 (р.)
Осталось пройти 36 км. Узнаем, сколько времени туристы затратят на оставшийся путь, если будут идти со скоростью 4 км/ч:
4) 36 : 4 = 9 (ч)
Выберите год учебника
Стр. 101 учебника 2023-2026:
Магический квадрат

Стр. 101 учебника 2011-2022:
Ребус

Стр. 101 учебника 2023-2026:
Решение

Пояснение
40 + 32 + 28 = 100 - сумма в каждой строке, каждом столбце и из угла в угол.
Чтобы найти одно и з трех слагаемых, нужно из общей суммы вычесть сумму двух известных слагаемых.
100 - (22 + 28) = 50
100 - (40 + 22) = 38
100 - (38 + 50) = 12
100 - (40 + 12) = 48
100 - (48 + 22) = 30
Стр. 101 учебника 2011-2022:
Решение

Пояснение
Умножаем на единицы. 3 • 8 = 24. Пишу 4, а 2 дес. прибавлю к десяткам после умножения десятков.
9 • 8 = 72, да ещё 2. 72 + 2 = 74.
При сложении неполных произведений к 7 прибавили какое-то число и получили 4, значит прибавляли 7, так как 7 + 7 = 14. Значит, искомая цифра во 2 множителе - 4.
Складываем неполные произведения, получится 4 464.
Вернуться к содержанию учебника