Задание 1032 - ГДЗ Математика 5 класс. Виленкин, Жохов, Чесноков. Учебник. Страница 160

Старая и новая редакции

Вернуться к содержанию учебника

1029 1030 1031 1032 1033 1034 1035

Вопрос

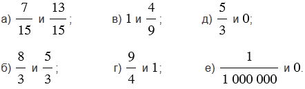
№1032 учебника 2011-2016 (стр. 160):

Сравните:

Подсказка

№1032 учебника 2011-2016 (стр. 160):

Вспомните сравнение дробей.

Ответ

№1032 учебника 2011-2016 (стр. 160):


Вернуться к содержанию учебника