Задание 1058 - ГДЗ Математика 5 класс. Виленкин, Жохов, Чесноков. Учебник. Страница 164

Старая и новая редакции

Вернуться к содержанию учебника

1055 1056 1057 1058 1059 1060 1061

Вопрос

№1058 учебника 2011-2016 (стр. 164):

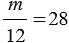
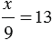
Решите уравнение:

а) ;         в) ;           д) .

б) ;    г) ;

Подсказка

№1058 учебника 2011-2016 (стр. 164):

Вспомните:

  1. Что такое дробь.
  2. Что такое частное (деление).
  3. Деление и дроби.
  4. Как решают уравнения.
  5. Умножение, вычитание чисел.
  6. Правило нахождения неизвестного делимого, делителя и уменьшаемого.

Ответ

№1058 учебника 2011-2016 (стр. 164):


Вернуться к содержанию учебника