Задание 1826 - ГДЗ Математика 5 класс. Виленкин, Жохов, Чесноков. Учебник. Страница 272

Старая и новая редакции

Вернуться к содержанию учебника

1823 1824 1825 1826 1827 1828 1829

Вопрос

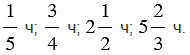
№1826 учебника 2011-2016 (стр. 272):

Выразите в минутах:

Подсказка

№1826 учебника 2011-2016 (стр. 272):

Вспомните:

  1. Единицы измерения времени.
  2. Что показывают числитель и знаменатель дроби.
  3. Смешанные числа.
  4. Деление чисел.
  5. Умножение чисел.
  6. Сложение чисел.

Ответ

№1826 учебника 2011-2016 (стр. 272):


Вернуться к содержанию учебника