Вернуться к содержанию учебника
Выберите год учебника
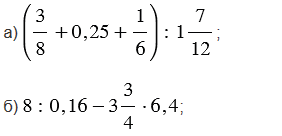
№613 учебника 2018-2020 (стр. 111):
Найдите значение выражения:


№613 учебника 2011-2017 (стр. 100):
За два дня турист прошел 26 км. Путь, пройденный в первый день, составлял
пути, пройденного во второй день. Сколько километров прошел турист в каждый из этих дней?
№613 учебника 2018-2020 (стр. 111):
Вспомните:
№613 учебника 2011-2017 (стр. 100):
Вспомните:
Вернуться к содержанию учебника