Мы уже умеем сравнивать, складывать и вычитать дроби с одинаковыми знаменателями. Теперь рассмотрим сравнение, сложение и вычитание дробей с разными знаменателями.
|
Чтобы сравнить две дроби с разными знаменателями, надо: 1) привести данные дроби к общему знаменателю; 2) применить правило сравнения дробей с одинаковыми знаменателями. |
Пример:
Сравним дроби
.
Приведем данные дроби к наименьшему общему знаменателю 10, получим:

|
Чтобы сложить (вычесть) две дроби с разными знаменателями, надо: 1) привести данные дроби к общему знаменателю; 2) применить правило сложения (вычитания) дробей с одинаковыми знаменателями. |
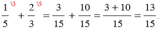
Примеры:
1) Найдем сумму
.
Наименьший общий знаменатель дробей
равен 15. Каждую из этих дробей заменим на ей равную со знаменателем 15. Этой заменой мы сложение дробей с разными знаменателями сведем к сложению дробей с одинаковыми знаменателями, получим:

2) Найдем разность
.
Наименьший общий знаменатель дробей
равен 35. Каждую из этих дробей заменим на ей равную со знаменателем 35. Этой заменой мы вычитание дробей с разными знаменателями сведем к вычитанию дробей с одинаковыми знаменателями, получим:

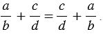
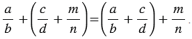
Для дробей, как и для натуральных чисел, выполняются свойства сложения:
1) Переместительное свойство: 
2) Сочетательное свойство: 
|
Чтобы выполнить сложение смешанных чисел, нужно: 1) привести дробные части этих чисел к наименьшему общему знаменателю; 2) отдельно выполнить сложение целых частей и отдельно дробных частей. Если при сложении дробных частей получилась неправильная дробь, выделить целую часть из этой дроби и прибавить ее к полученной целой части. |
Пример:

|
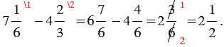
Чтобы выполнить вычитание смешанных чисел, нужно: 1) привести дробные части этих чисел к наименьшему общему знаменателю; если дробная часть уменьшаемого меньше дробной части вычитаемого, превратить ее в неправильную дробь, уменьшив на единицу целую часть; 2) отдельно выполнить вычитание целых частей и отдельно дробных частей. |
Пример:

Обычно, примеры такого вида, как пример 2, записывают коротко: 
Обратите внимание: если в результате сложения или вычитания дробей получается сократимая дробь, то нужно выполнить сокращение.
Признаки делимости на 10, на 5 и на 2
Признаки делимости на 9 и на 3
Разложение на простые множители
Сложение и вычитание дробей с одинаковыми знаменателями
Сложение и вычитание смешанных чисел
Приведение дробей к общему знаменателю
5 класс
Задание 5.394, Виленкин, Жохов, Чесноков, Шварцбург, Учебник, часть 2
Задание 5.444, Виленкин, Жохов, Чесноков, Шварцбург, Учебник, часть 2
Задание 5.445, Виленкин, Жохов, Чесноков, Шварцбург, Учебник, часть 2
Задание 9, Виленкин, Жохов, Чесноков, Шварцбург, Учебник, часть 2
Задание 6.59, Виленкин, Жохов, Чесноков, Шварцбург, Учебник, часть 2
Задание 6.113, Виленкин, Жохов, Чесноков, Шварцбург, Учебник, часть 2
Задание 6.239, Виленкин, Жохов, Чесноков, Шварцбург, Учебник, часть 2
Задание 5.478, Виленкин, Жохов, Чесноков, Шварцбург, Учебник, часть 2
Задание 5.481, Виленкин, Жохов, Чесноков, Шварцбург, Учебник, часть 2
Задание 5.484, Виленкин, Жохов, Чесноков, Шварцбург, Учебник, часть 2
6 класс
Номер 1126, Мерзляк, Полонский, Якир, Учебник
Номер 1, Мерзляк, Полонский, Якир, Учебник
Задание 565, Виленкин, Жохов, Чесноков, Шварцбург, Учебник
Задание 1096, Виленкин, Жохов, Чесноков, Шварцбург, Учебник
Задание 1256, Виленкин, Жохов, Чесноков, Шварцбург, Учебник
Задание 2.168, Виленкин, Жохов, Чесноков, Шварцбург, Учебник, часть 1
Задание 2.237, Виленкин, Жохов, Чесноков, Шварцбург, Учебник, часть 1
Задание 2.386, Виленкин, Жохов, Чесноков, Шварцбург, Учебник, часть 1
Задание 3.160, Виленкин, Жохов, Чесноков, Шварцбург, Учебник, часть 1
Задание П.1, Виленкин, Жохов, Чесноков, Шварцбург, Учебник, часть 2
7 класс
Номер 4, Мерзляк, Полонский, Якир, Учебник
Номер 125, Мерзляк, Полонский, Якир, Учебник
Номер 197, Мерзляк, Полонский, Якир, Учебник
Номер 288, Мерзляк, Полонский, Якир, Учебник
Номер 482, Мерзляк, Полонский, Якир, Учебник
Номер 527, Мерзляк, Полонский, Якир, Учебник
Упражнение 17, Макарычев, Миндюк, Нешков, Суворова, Учебник
Упражнение 19, Макарычев, Миндюк, Нешков, Суворова, Учебник
Упражнение 69, Макарычев, Миндюк, Нешков, Суворова, Учебник
Упражнение 1095, Макарычев, Миндюк, Нешков, Суворова, Учебник
8 класс
Номер 214, Мерзляк, Полонский, Якир, Учебник
Номер 251, Мерзляк, Полонский, Якир, Учебник
Номер 482, Мерзляк, Полонский, Якир, Учебник
Номер 731, Мерзляк, Полонский, Якир, Учебник
Упражнение 357, Макарычев, Миндюк, Нешков, Суворова, Учебник
Упражнение 580, Макарычев, Миндюк, Нешков, Суворова, Учебник
Упражнение 853, Макарычев, Миндюк, Нешков, Суворова, Учебник
Упражнение 857, Макарычев, Миндюк, Нешков, Суворова, Учебник
Упражнение 1184, Макарычев, Миндюк, Нешков, Суворова, Учебник
Упражнение 1264, Макарычев, Миндюк, Нешков, Суворова, Учебник
9 класс
Упражнение 39, Макарычев, Миндюк, Нешков, Суворова, Учебник
Упражнение 499, Макарычев, Миндюк, Нешков, Суворова, Учебник
Упражнение 510, Макарычев, Миндюк, Нешков, Суворова, Учебник
Упражнение 629, Макарычев, Миндюк, Нешков, Суворова, Учебник
Упражнение 647, Макарычев, Миндюк, Нешков, Суворова, Учебник
Упражнение 661, Макарычев, Миндюк, Нешков, Суворова, Учебник
Упражнение 780, Макарычев, Миндюк, Нешков, Суворова, Учебник
Упражнение 781, Макарычев, Миндюк, Нешков, Суворова, Учебник
Упражнение 193, Макарычев, Миндюк, Нешков, Суворова, Учебник
Упражнение 195, Макарычев, Миндюк, Нешков, Суворова, Учебник