Вернуться к содержанию учебника
№5.467 учебника 2023-2026 (стр. 76):
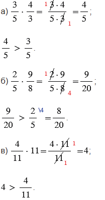
Вычислите произведение, в котором второй множитель - неправильная дробь:

Сравните полученное произведение с первым множителем. Как изменяется число при умножении его на неправильную дробь - увеличивается или уменьшается?
№5.467 учебника 2023-2026 (стр. 76):
Вспомните:
№5.467 учебника 2023-2026 (стр. 76):


Вывод:
При умножении на неправильную дробь число увеличивается.
Пояснения:
Чтобы умножить обыкновенную дробь на натуральное число, нужно ее числитель умножить на это число, а знаменатель оставить без изменения.
Чтобы найти произведение двух дробей, можно:
1) перемножить их числители и перемножить их знаменатели;
2) первое произведение записать числителем, а второе - знаменателем дроби.
Чтобы вычисления были проще, не надо перемножать сразу числители и знаменатели, лучше сделать это после сокращения их на общие множители. Если при вычислениях получилась неправильная дробь, ее преобразуют в смешанное число (выделяют целую часть) или натуральное число (когда числитель делится на знаменатель нацело).
Чтобы неправильную дробь, числитель которой нацело не делится на знаменатель, преобразовать в смешанное число, надо числитель разделить на знаменатель; полученное неполное частное записать как целую часть смешанного числа, а остаток - как числитель его дробной части.
Чтобы сравнить две дроби с разными знаменателями, надо:
1) привести данные дроби к общему знаменателю;
2) применить правило сравнения дробей с одинаковыми знаменателями, согласно которому из двух дробей с одинаковыми знаменателями больше та, у которой числитель больше, и меньше та, у которой числитель меньше.
При сравнении смешанных чисел сначала сравнивают целые части, если же целые части одинаковые, то сравнивают дробные части.
Вернуться к содержанию учебника