Вернуться к содержанию учебника
№5.462 учебника 2023-2026 (стр. 75):
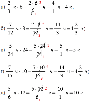
Вычислите:

№5.462 учебника 2023-2026 (стр. 75):
Вспомните:
№5.462 учебника 2023-2026 (стр. 75):

Пояснения:
Чтобы умножить обыкновенную дробь на натуральное число, нужно ее числитель умножить на это число, а знаменатель оставить без изменения.
Чтобы вычисления были проще, не надо перемножать сразу числители и знаменатели, лучше сделать это после сокращения их на общие множители. Если при вычислениях получилась неправильная дробь, ее преобразуют в смешанное число (выделяют целую часть) или натуральное число (когда числитель делится на знаменатель нацело).
Чтобы неправильную дробь, числитель которой нацело не делится на знаменатель, преобразовать в смешанное число, надо числитель разделить на знаменатель; полученное неполное частное записать как целую часть смешанного числа, а остаток - как числитель его дробной части.
Вернуться к содержанию учебника