Вернуться к содержанию учебника
Проверьте себя
Проверочная работа №1
1. Сравните дроби:

2. Какая из дробей
наибольшая; наименьшая? Есть ли среди них равные?
3. Запишите дроби
в порядке возрастания.
4. Больше или меньше половины литровой банки будет заполнено, если в нее налить:

Проверочная работа №2
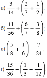
1. Вычислите:

2. Найдите сумму:

3. Домашнее задание по математике Петя делала
ч, а задание по истории
ч, а задание по русскому языку -
ч.
а) Сколько времени ушло у Пети на выполнение всех домашних заданий?
б) На сколько больше времени ушло у Пети на выполнение задания по русскому языку, чем задания по истории?
в) Сколько времени ушло у Пети на выполнение заданий по истории и математике вместе?
Проверочная работа №3
1. Найдите разность:

2. Найдите значение выражения:

3*. Проверьте, верно ли равенство:

Объясните, почему так получилось.
Вспомните:
Вернуться к содержанию учебника