Задание 1333 - ГДЗ Математика 6 класс. Виленкин, Жохов, Чесноков. Учебник. Страница 233

Старая и новая редакции

Вернуться к содержанию учебника

1330 1331 1332 1333 1334 1335 1336

Вопрос

№1333 учебника 2011-2017 (стр. 233):

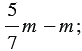
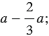
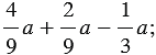
Приведите подобные слагаемые:

а)

б)

в)

г)

д)

е)

ж)

з)

Подсказка

Ответ

№1333 учебника 2011-2017 (стр. 233):


Вернуться к содержанию учебника