Задание 706 - ГДЗ Математика 6 класс. Виленкин, Жохов, Чесноков. Учебник

Старая и новая редакции

Вернуться к содержанию учебника

703 704 705 706 707 708 709

Вопрос

Выберите год учебника

№706 учебника 2018-2020 (стр. 124):

Найти с помощью микрокалькулятора значение выражения можно по программе а значение выражения по такой программе:

Выполните вычисления по этим программам.

Постройте программу нахождения значения выражения и выполните по ней вычисления:


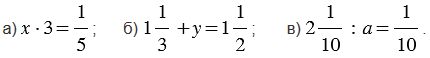
№706 учебника 2011-2017 (стр. 113):

Составьте задачу по уравнению:

Подсказка

№706 учебника 2018-2020 (стр. 124):

Вспомните:

  1. Вычисления на микрокалькуляторе.
  2. Дробные выражения.

№706 учебника 2011-2017 (стр. 113):

Ответ

№706 учебника 2018-2020 (стр. 124):


№706 учебника 2011-2017 (стр. 113):


Вернуться к содержанию учебника