Задание 1123 - ГДЗ Математика 6 класс. Виленкин, Жохов, Чесноков. Учебник. Страница 192

Старая и новая редакции

Вернуться к содержанию учебника

1120 1121 1122 1123 1124 1125 1126

Вопрос

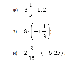
№1123 учебника 2011-2017 (стр. 192):

Найдите значение произведения:

Подсказка

Ответ

№1123 учебника 2011-2017 (стр. 192):


Вернуться к содержанию учебника