Вернуться к содержанию учебника
№1209 учебника 2011-2017 (стр. 209):
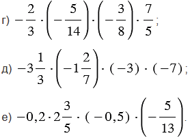
Выбирая удобный порядок вычислений, найдите значение выражения:
а)
2
(
50)
6
12;
б) 11
(
4)
(
7)
25;
в)
0,2
0,8
(
5)
(
1,25);

№1209 учебника 2011-2017 (стр. 209):
Вспомните:
Вернуться к содержанию учебника