Задание 1263 - ГДЗ Математика 6 класс. Виленкин, Жохов, Чесноков. Учебник. Страница 222

Старая и новая редакции

Вернуться к содержанию учебника

1260 1261 1262 1263 1264 1265 1266

Вопрос

№1263 учебника 2011-2017 (стр. 222):

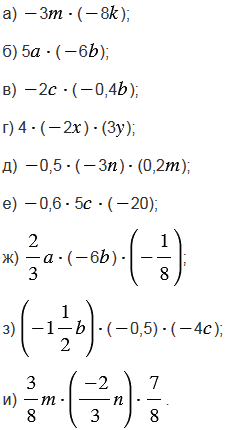
Упростите выражение и подчеркните коэффициент:

Подсказка

№1263 учебника 2011-2017 (стр. 222):

Вспомните:

  1. Свойства умножения рациональных чисел.
  2. Умножение рациональных чисел.
  3. Модуль числа.
  4. Умножение десятичных дробей.
  5. Умножение обыкновенных дробей и смешанных чисел.
  6. Сокращение дробей.

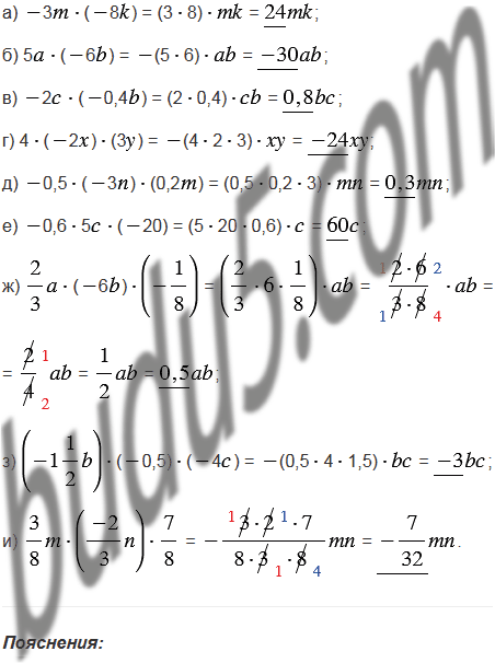
Ответ

№1263 учебника 2011-2017 (стр. 222):


Вернуться к содержанию учебника