Задание 1341 - ГДЗ Математика 6 класс. Виленкин, Жохов, Чесноков. Учебник. Страница 234

Старая и новая редакции

Вернуться к содержанию учебника

1338 1339 1340 1341 1342 1343 1344

Вопрос

№1341 учебника 2011-2017 (стр. 234):

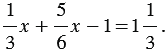
Решите уравнение и выполните проверку:

а)

б)

в)

г)

д)

е)

Подсказка

№1341 учебника 2011-2017 (стр. 234):

Ответ

№1341 учебника 2011-2017 (стр. 234):


Вернуться к содержанию учебника