Номер 227 - ГДЗ Математика 6 класс. Мерзляк, Полонский. Учебник. Страница 48

Вернуться к содержанию учебника

Страница 48

224 225 226 227 228 229 230

Вопрос

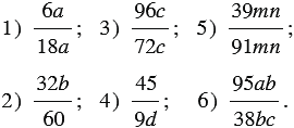
Сократите (буквами обозначены натуральные числа):

Подсказка

Ответ


Вернуться к содержанию учебника