Номер 266 - ГДЗ Математика 6 класс. Мерзляк, Полонский. Учебник. Страница 54

Вернуться к содержанию учебника

Страница 54

263 264 265 266 267 268 269

Вопрос

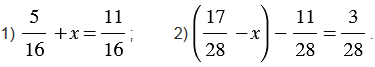
Решите уравнение:

Подсказка

Вспомните:

  1. Как решают уравнения.
  2. Сложение и вычитание дробей с одинаковыми знаменателями.
  3. Сокращение дробей.

Ответ


Вернуться к содержанию учебника