Номер 357 - ГДЗ Математика 6 класс. Мерзляк, Полонский. Учебник. Страница 70

Вернуться к содержанию учебника

Страница 70

354 355 356 357 358 359 360

Вопрос

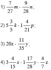
Упростите выражение:

Подсказка

Вспомните:

  1. Умножение обыкновенных дробей и смешанных чисел, его свойства.
  2. Сокращение дробей.
  3. Неправильные дроби.
  4. Деление с остатком.

Ответ


Вернуться к содержанию учебника