Номер 375 - ГДЗ Математика 6 класс. Мерзляк, Полонский. Учебник. Страница 72

Вернуться к содержанию учебника

Страница 72

372 373 374 375 376 377 378

Вопрос

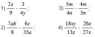
Выполните умножение (буквами обозначены натуральные числа):

Подсказка

Вспомните:

  1. Какие числа называют натуральными.
  2. Умножение обыкновенных дробей.
  3. Сокращение дробей.
  4. Степень числа.
  5. Общий делитель чисел.

Ответ


Вернуться к содержанию учебника