Номер 2. Рациональные числа и действия над ними. Решаем устно § 29 - ГДЗ Математика 6 класс. Мерзляк, Полонский. Учебник. Страница 179

Вернуться к содержанию учебника

Рациональные числа и действия над ними. Решаем устно § 29. Страница 179

2 3 1 2 3 4 1

Вопрос

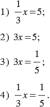
Решите уравнение:

Подсказка

Ответ

2 3 1 2 3 4 1


Вернуться к содержанию учебника