Номер 841 - ГДЗ Математика 6 класс. Мерзляк, Полонский. Учебник. Страница 181

Вернуться к содержанию учебника

Страница 181

838 839 840 841 842 843 844

Вопрос

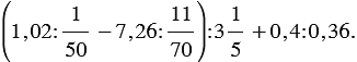
Найдите значение выражения:

Подсказка

Ответ


Вернуться к содержанию учебника