Номер 966 - ГДЗ Математика 6 класс. Мерзляк, Полонский. Учебник. Страница 207

Вернуться к содержанию учебника

Страница 207

963 964 965 966 967 968 969

Вопрос

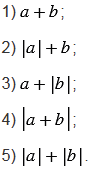
При = 6,3, = 2,7 найдите значение выражения:

Подсказка

Вспомните:

  1. Числовые и буквенные выражения.
  2. Правила сложения рациональных чисел.
  3. Что называют модулем числа.
  4. Положительные и отрицательные числа.
  5. Сравнение десятичных дробей.
  6. Сложение и вычитание десятичных дробей.

Ответ


Вернуться к содержанию учебника